Page 241 - Preduzeća 2019
P. 241
PREGLED FINANSIJSKIH/FINANCIJSKIH POKAZATELJA OVERVIEW OF FINANCIAL INDICATORS FOR COMPANIES
PRIVREDNIH/GOSPODARSKIH DRUŠTAVA U FEDERACIJI BIH IN FEDERATION OF BOSNIA AND HERZEGOVINA
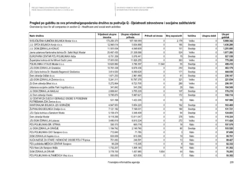
Pregled po gubitku za sva privredna/gospodarska društva za područje Q - Djelatnosti zdravstvene i socijalne zaštite/skrbi
Overview by loss for all companies in section Q - Healthcare and social work activities
Vrijednost ukupne Ukupna vrijednost Ukupni
Naziv društva Prihodi od izvoza Broj zaposlenih Veličina Ukupna dobit
imovine prihoda gubitak
SVEUČILIŠNA KLINIČKA BOLNICA Mostar d.o.o. 173.250.373 107.169.919 0 2.179 Veliko 0 5.869.342
J.U. OPĆA BOLNICA Konjic d.o.o. 12.940.014 5.634.888 0 165 Srednje 0 1.436.206
J.U. DOM ZDRAVLJA KONJIC 11.501.004 4.048.609 0 151 Srednje 0 1.251.895
Javna ustanova Kantonalna bolnica Dr. Safet Mujić Mostar 25.467.435 21.338.068 0 524 Veliko 0 1.077.205
EUROFARM CENTAR PZU POLIKLINIKA Ilidža 6.751.358 5.076.441 0 79 Srednje 0 927.538
Županijska bolnica dr.fra Mihovil Sučić Livno 17.001.093 11.826.255 0 363 Veliko 0 775.200
POLIKLINIKA VITALIS Mostar d.o.o. 10.620.860 3.796.397 11.640 55 Srednje 0 499.410
JZU DOM ZDRAVLJA Gradačac 10.761.438 6.678.436 0 210 Srednje 0 463.179
JZU Opća bolnica Dr. Mustafa Beganović Gračanica 3.814.930 6.099.628 0 171 Srednje 0 444.038
Dom zdravlja Odžak d.o.o. 1.671.253 2.961.489 0 81 Srednje 0 236.147
JZU DOM ZDRAVLJA Živinice d.o.o. 5.241.311 10.787.378 0 321 Veliko 0 221.834
ZU Dom zdravlja Bihać d.o.o. 5.272.864 8.723.705 0 280 Veliko 0 206.191
Ustanova socijalne zaštite Park Vogošća d.o.o. 341.842 541.256 0 29 Malo 0 184.549
JU DOM ZDRAVLJA MAGLAJ 2.808.841 3.755.229 0 107 Srednje 0 176.219
JU Dom zdravlja Visoko 5.795.874 5.987.621 0 172 Srednje 0 168.114
JU CENTAR ZA DJECU I ODRASLE OSOBE S POSEBNIM 531.198 1.422.205 0 55 Malo 0 167.589
POTREBAMA ZDK Zenica d.o.o.
KANTONALNA BOLNICA JZU GORAŽDE 4.847.953 5.654.220 0 162 Srednje 0 163.469
ŽUPANIJSKA BOLNICA Orašje d.o.o. 7.121.182 7.168.031 0 180 Srednje 0 131.721
JZU Opća bolnica u Sanskom Mostu 5.159.474 3.348.409 0 94 Srednje 0 124.603
Dom zdravlja Mostar 9.118.266 13.011.047 0 376 Veliko 0 116.324
JZU DOM ZDRAVLJA Lukavac 3.485.819 8.810.224 0 272 Veliko 0 111.424
PZU POLIKLINIKA DR. STRIKA 330.173 600.774 0 18 Malo 0 107.579
JU DOM ZDRAVLJA ORAŠJE 1.184.742 2.149.746 0 60 Srednje 0 103.520
PZU POLIKLINIKA OXY Sarajevo d.o.o. 712.840 71.785 0 3 Malo 0 97.659
DOM ZDRAVLJA Kupres d.o.o. 833.939 610.395 0 19 Malo 0 95.791
KUĆA NJEGE ZA STARE I NEMOĆNE OSOBE PZU-7 Fojnica 751.083 246.591 0 13 Malo 0 89.427
PZU poliklinika MEDICA CENTAR Sarajevo 99.238 115.305 0 8 Malo 0 82.332
PZU New Life Sarajevo Ilidža 1.732.257 1.008.145 0 18 Malo 0 81.302
DOM ZDRAVLJA DRVAR 3.778.700 1.457.985 1.654 44 Malo 0 76.293
PZU POLIKLINIKA ALTAMEDICA Vitez d.o.o. 935.093 621.835 0 7 Malo 0 55.382
Finansijsko-informatička agencija 239

