Page 135 - ZHK-final
P. 135
A Pregled pokazatelja finansijskog/financijskog poslovanja svih Overview of financial indicators for all companies POSU Š JE Pregled pokazatelja finansijskog/financijskog poslovanja svih ANJA PRIVREDNIH/ Overview of financial indicators for all companies A C
OVER VIEW OF FINANCIAL INDICATOR S F OR COMPANIES BY SEC TIONS OF
PREGLED POK A Z ATELJA FINANSIJSKOG/FINANCIJSKOG POSLO V
privrednih/gospodarskih društava
privrednih/gospodarskih društava u opštini/iopćini XXX
in Federation of Bosnia and Herzegovina
in municipality XXX
GOSPOD AR SKIH DRU Š TA V A PO PODRUČ JIMA DJEL ATNOSTI U OP ŠTINI/OPĆINI
ACTIVIT Y IN MUNICIPALIT Y POSU Š JE
Federacija BiH
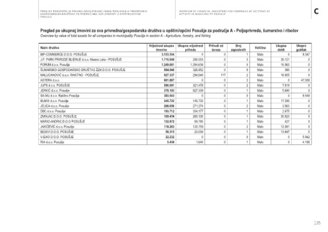
Pregled pokazatelja finansijskog/financijskog poslovanja privrednih/gospodarskih društava po Pregled po ukupnoj imovini za sva privredna/gospodarska društva u opštini/općini Posušje za područje A - Poljoprivreda, šumarstvo i ribolov
područjima djelatnosti u opštini/općini Posušje Overview by value of total assets for all companies in municipality Posušje in section A - Agriculture, forestry, and fishing
Broj
Ukupni
Overview of financial indicators for companies by sections of activity in municipality Naziv društva Vrijednost ukupne Ukupna vrijednost Prihodi od zaposlenih Veličina Ukupna gubitak
prihoda
dobit
izvoza
imovine
Posušje BIP-COMMERCE D.O.O. POSUŠJE 3.133.104 0 0 1 Malo 0 8.347
J.P. PARK PRIRODE BLIDINJE d.o.o. Masna Luka - POSUŠJE 1.715.500 295.553 0 3 Malo 35.121 0
Zbirni finansijski/financijski pokazatelji za sva privredna/gospodarska društva u opštini/općini Posušje za područje A - Poljoprivreda, šumarstvo i FORUM d.o.o. Posušje 1.249.081 1.284.638 0 5 Malo 15.063 0
ribolov ŠUMARSKO GOSPODARSKO DRUŠTVO ŽZH D.O.O. POSUŠJE 984.946 326.852 0 9 Malo 380 0
Aggregate financial indicators for all companies in municipality Posušje in section A - Agriculture, forestry, and fishing MALUCANOVIĆ d.o.o. RAKITNO - POSUŠJE 927.337 294.640 117 2 Malo 18.855 0
ASTERA d.o.o. 601.887 0 0 2 Malo 0 47.509
Pokazatelj 2016 2017 2018 JUPS d.o.o. POSUŠJE 586.091 321.478 0 2 Malo 7.819 0
Broj privrednih/gospodarskih društava 17 18 18 JERKIĆ d.o.o. Posušje 378.103 827.339 0 1 Malo 5.690 0
Vrijednost ukupne imovine 9.746.485 10.487.009 11.034.268 SA-MU d.o.o. Rakitno-Posušje 303.543 0 0 0 Malo 0 8.549
Ukupna vrijednost prihoda 4.145.546 4.432.719 4.577.041 BUMIX d.o.o. Posušje 245.722 145.732 0 1 Malo 17.295 0
Prihodi od izvoza 392.293 286.808 117 JELICA d.o.o. Posušje 208.656 271.274 0 2 Malo 3.563 0
Broj zaposlenih 32 32 35 DBC d.o.o. Posušje 193.712 334.177 0 1 Malo 2.675 0
Broj privrednih/gospodarskih društava sa dobiti 9 11 13 ZMINJAC D.O.O. POSUŠJE 169.454 260.130 0 1 Malo 30.923 0
Ukupna dobit 227.070 357.329 163.539 MARIO-ANDRIC D.O.O POSUŠJE 132.872 69.795 0 1 Malo 427 0
Broj privrednih/gospodarskih društava sa gubitkom 8 6 5 JAKIĆEVIĆ d.o.o. Posušje 118.263 120.759 0 2 Malo 12.081 0
Ukupni gubitak 131.634 100.645 74.536 BEGIVI D.O.O. POSUŠJE 58.315 23.034 0 1 Malo 13.647 0
VJEKO D.O.O. POSUŠJE 22.232 0 0 0 Malo 0 5.942
RIA d.o.o. Posušje 5.450 1.640 0 1 Malo 0 4.189
128 129
135

