Page 219 - 2020_08_05_Srednjobosanski kanton
P. 219
PREGLED FINANSIJSKIH/FINANCIJSKIH POKAZATELJA OVERVIEW OF FINANCIAL INDICATORS
PRIVREDNIH/GOSPODARSKIH DRUŠTAVA PO OPŠTINAMA/OPĆINAMA FOR COMPANIES IN MUNICIPALITIES
SREDNJOBOSANSKOG KANTONA OF CENTRAL BOSNIA CANTON
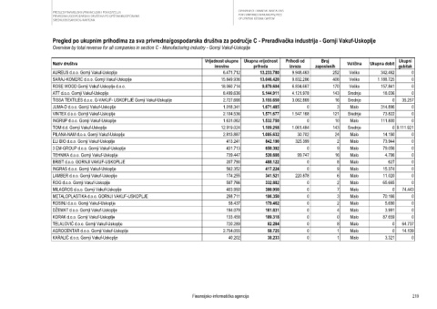
Pregled po ukupnim prihodima za sva privredna/gospodarska društva za područje C - Prerađivačka industrija - Gornji Vakuf-Uskoplje
Overview by total revenue for all companies in section C - Manufacturing industry - Gornji Vakuf-Uskoplje
Vrijednost ukupne Ukupna vrijednost Prihodi od Broj Ukupni
Naziv društva Veličina Ukupna dobit
imovine prihoda izvoza zaposlenih gubitak
AUREUS d.o.o. Gornji Vakuf-Uskoplje 6.471.712 13.233.780 9.948.463 252 Veliko 342.462 0
SARAJ-KOMERC d.o.o. Gornji Vakuf-Uskoplje 15.849.936 13.046.420 9.832.286 408 Veliko 1.188.725 0
ROSE WOOD Gornji Vakuf-Uskoplje d.o.o. 18.060.714 9.879.604 6.834.667 170 Veliko 157.841 0
ATT d.o.o. Gornji Vakuf-Uskoplje 8.499.636 5.144.911 4.121.978 143 Srednje 18.036 0
TISSA TEXTILES d.o.o. G-VAKUF- USKOPLJE Gornji Vakuf-Uskoplje 2.727.666 3.155.650 3.062.869 16 Srednje 0 35.257
JUMA-D d.o.o. Gornji Vakuf-Uskoplje 1.018.341 1.671.485 0 3 Malo 314.896 0
VINTEX d.o.o. Gornji Vakuf-Uskoplje 2.104.536 1.571.677 1.547.168 121 Srednje 73.822 0
INGRUP d.o.o. Gornji Vakuf-Uskoplje 1.631.062 1.532.750 0 10 Malo 111.800 0
TOM d.d. Gornji Vakuf-Uskoplje 12.919.024 1.109.258 1.061.484 143 Srednje 0 9.111.921
PILANA-NAM d.o.o. Gornji Vakuf-Uskoplje 2.813.887 1.085.632 30.702 24 Malo 14.190 0
ELI BIO d.o.o. Gornji Vakuf-Uskoplje 413.241 842.190 325.399 2 Malo 73.944 0
3 EM-GROUP d.o.o. Gornji Vakuf-Uskoplje 431.713 650.392 0 9 Malo 79.056 0
TEHNIKA d.o.o. Gornji Vakuf-Uskoplje 739.447 520.608 99.747 16 Malo 4.796 0
BRIST d.o.o. GORNJI VAKUF-USKOPLJE 207.790 488.122 0 8 Malo 627 0
INGRAS d.o.o. Gornji Vakuf-Uskoplje 562.352 417.224 0 9 Malo 15.374 0
LAMBER d.o.o. Gornji Vakuf-Uskoplje 174.255 341.521 220.878 6 Malo 11.020 0
ROG d.o.o. Gornji Vakuf-Uskoplje 587.766 332.882 0 2 Malo 65.665 0
MILAGROS d.o.o. Gornji Vakuf-Uskoplje 403.950 300.950 0 7 Malo 0 74.443
METALOPLASTIKA d.o.o. GORNJI VAKUF-USKOPLJE 298.711 186.350 0 3 Malo 70.166 0
ROSINJ d.o.o. Gornji Vakuf-Uskoplje 58.437 179.462 0 2 Malo 5.690 0
DŽEMAT d.o.o. Gornji Vakuf-Uskoplje 194.079 161.831 0 4 Malo 3.991 0
KORAK d.o.o. Gornji Vakuf-Uskoplje 133.458 109.318 0 0 Malo 87.659 0
TELALOVIĆ d.o.o. Gornji Vakuf-Uskoplje 720.289 82.284 0 8 Malo 0 64.737
AGROCENTAR d.o.o. Gornji Vakuf-Uskoplje 2.754.055 58.725 0 1 Malo 0 14.139
KARALIĆ d.o.o. Gornji Vakuf-Uskoplje 40.202 38.233 0 1 Malo 3.321 0
Finansijsko-informatička agencija 219

