Page 555 - ZDK-final
P. 555
A Pregled pokazatelja finansijskog/financijskog poslovanja svih Overview of financial indicators for all companies PREGLED POK A Z ATELJA FINANSIJSKOG/FINANCIJSKOG POSLO V Overview of financial indicators for all companies A C
Pregled pokazatelja finansijskog/financijskog poslovanja svih ANJA PRIVREDNIH/
OVER VIEW OF FINANCIAL INDICATOR S F OR COMPANIES BY SEC TIONS OF
privrednih/gospodarskih društava
privrednih/gospodarskih društava u opštini/iopćini XXX
in Federation of Bosnia and Herzegovina
in municipality XXX
ACTIVIT Y IN CIT Y OF ZENICA
GOSPOD AR SKIH DRU Š TA V A PO PODRUČ JIMA DJEL ATNOSTI U GR ADU ZENICI
Federacija BiH
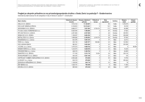
Pregled po ukupnoj imovini za sva privredna/gospodarska društva u Gradu Zenici za područje F - Građevinarstvo Pregled po ukupnim prihodima za sva privredna/gospodarska društva u Gradu Zenici za područje F - Građevinarstvo
Overview by value of total assets for all companies in City of Zenica in section F - Construction Overview by total revenue for all companies in City of Zenica in section F - Construction
Ukupni
Broj
Broj
Naziv društva Vrijednost ukupne Ukupna vrijednost Prihodi od zaposlenih Veličina Ukupna Ukupni Naziv društva Vrijednost ukupne Ukupna vrijednost Prihodi od zaposlenih Veličina Ukupna gubitak
imovine
prihoda
izvoza
prihoda
dobit
izvoza
gubitak
dobit
imovine
J.P. KOMRAD D.O.O. ZENICA U STEČAJU 13.582.591 43.319 0 0 Malo 42.546 0 AREL D.O.O. ZENICA 7.612.723 11.125.857 0 80 Veliko 1.374.075 0
DOO ALMY GRADNJA ZENICA 9.159.653 10.374.241 0 122 Veliko 35.576 0 DOO ALMY GRADNJA ZENICA 9.159.653 10.374.241 0 122 Veliko 35.576 0
Privredno društvo KOMGRAD-ZE d.o.o. 8.925.080 7.389.444 0 60 Srednje 27.823 0 GEOSONDA D.O.O. ZENICA 8.869.377 7.827.263 5.754.415 112 Srednje 64.988 0
GEOSONDA D.O.O. ZENICA 8.869.377 7.827.263 5.754.415 112 Srednje 64.988 0 Privredno društvo KOMGRAD-ZE d.o.o. 8.925.080 7.389.444 0 60 Srednje 27.823 0
AREL D.O.O. ZENICA 7.612.723 11.125.857 0 80 Veliko 1.374.075 0 ŠPIC BETON D.O.O. ZENICA 2.081.843 2.527.046 0 28 Srednje 345.053 0
IZGRADNJA-INVEST D.D. ZENICA U STEČAJU 6.969.024 69.309 0 1 Malo 0 465.050 SIGMA-SK D.O.O. ZENICA 1.198.287 2.463.254 0 29 Srednje 208.488 0
ENGRA d.o.o. Sarajevo 5.998.684 324.368 0 0 Malo 0 1.078.967 INSTALLTECH d.o.o Zenica 1.959.626 2.350.653 2.316.715 29 Srednje 57.052 0
AM-LS INVEST d.o.o. Zenica 2.919.011 614.000 0 1 Malo 39.383 0 ZENGRADNJA d.o.o. Zenica 643.476 1.997.270 0 17 Malo 32.513 0
UNIPROJEKT KOMERC INŽINJERING D.O.O. ZENICA 2.560.244 872.540 0 30 Malo 10.704 0 TEED d.o.o. Zenica 204.134 1.487.577 930.863 42 Malo 123.954 0
ŠPIC BETON D.O.O. ZENICA 2.081.843 2.527.046 0 28 Srednje 345.053 0 DOO UNISAN ZENICA 965.291 1.461.944 0 24 Malo 250.599 0
INSTALLTECH d.o.o Zenica 1.959.626 2.350.653 2.316.715 29 Srednje 57.052 0 A ELING d.o.o. Zenica 1.475.373 1.428.722 0 22 Malo 0 88.563
A ELING d.o.o. Zenica 1.475.373 1.428.722 0 22 Malo 0 88.563 NEIMARI ŠERIĆI d.o.o. Zenica 1.234.073 1.425.819 0 23 Malo 16.200 0
NEIMARI ŠERIĆI d.o.o. Zenica 1.234.073 1.425.819 0 23 Malo 16.200 0 TRGOMONTING d.o.o. Zenica 426.018 1.326.792 0 8 Malo 24.465 0
SIGMA-SK D.O.O. ZENICA 1.198.287 2.463.254 0 29 Srednje 208.488 0 ŠAMOTER D.O.O. ZENICA 777.165 1.211.778 18.054 28 Malo 238.130 0
IZGRADNJA-INŽINJERING D.D. ZENICA 1.108.638 844.718 0 14 Malo 78 0 TEHNO-PROMET D.O.O. ZENICA 500.345 1.047.189 0 23 Malo 145 0
GRADNJA D.D. ZENICA U STEČAJU 1.092.900 568 0 1 Malo 0 21.158 UNIPROJEKT KOMERC INŽINJERING D.O.O. ZENICA 2.560.244 872.540 0 30 Malo 10.704 0
ŽGP ZENICA d.d. 1.028.141 780.399 0 5 Malo 11.583 0 LS-INVEST d.o.o. Zenica 632.319 870.000 0 3 Malo 350.224 0
DOO UNISAN ZENICA 965.291 1.461.944 0 24 Malo 250.599 0 IZGRADNJA-INŽINJERING D.D. ZENICA 1.108.638 844.718 0 14 Malo 78 0
GU UNIVERZAL d.d. Zenica 926.964 31.817 0 0 Malo 16.422 0 ŽGP ZENICA d.d. 1.028.141 780.399 0 5 Malo 11.583 0
ŠAMOTER D.O.O. ZENICA 777.165 1.211.778 18.054 28 Malo 238.130 0 ARCON-in D.O.O. ZENICA 685.452 670.330 0 25 Malo 6.877 0
548 549
555

