Page 275 - ZDK-final
P. 275
A Pregled pokazatelja finansijskog/financijskog poslovanja svih Overview of financial indicators for all companies TEŠANJ Pregled pokazatelja finansijskog/financijskog poslovanja svih ANJA PRIVREDNIH/ Overview of financial indicators for all companies A C
PREGLED POK A Z ATELJA FINANSIJSKOG/FINANCIJSKOG POSLO V
OVER VIEW OF FINANCIAL INDICATOR S F OR COMPANIES BY SEC TIONS OF
privrednih/gospodarskih društava
privrednih/gospodarskih društava u opštini/iopćini XXX
in Federation of Bosnia and Herzegovina
in municipality XXX
ACTIVIT Y IN MUNICIPALIT Y TEŠANJ
GOSPOD AR SKIH DRU Š TA V A PO PODRUČ JIMA DJEL ATNOSTI U OP ŠTINI/OPĆINI
Federacija BiH
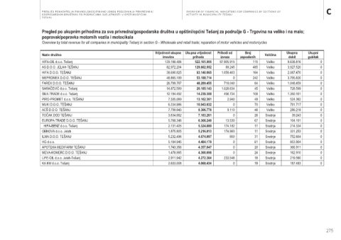
Pregled po ukupnoj imovini za sva privredna/gospodarska društva u opštini/općini Tešanj za područje G - Trgovina na veliko i na malo; Pregled po ukupnim prihodima za sva privredna/gospodarska društva u opštini/općini Tešanj za područje G - Trgovina na veliko i na malo;
popravak/popravka motornih vozila i motocikala popravak/popravka motornih vozila i motocikala
Overview by value of total assets for all companies in municipality Tešanj in section G - Wholesale and retail trade; reparation of motor vehicles and motorcycles Overview by total revenue for all companies in municipality Tešanj in section G - Wholesale and retail trade; reparation of motor vehicles and motorcycles
Ukupni
Broj
Broj
Naziv društva Vrijednost ukupne Ukupna vrijednost Prihodi od zaposlenih Veličina Ukupna Ukupni Naziv društva Vrijednost ukupne Ukupna vrijednost Prihodi od zaposlenih Veličina Ukupna gubitak
imovine
izvoza
prihoda
prihoda
gubitak
dobit
izvoza
imovine
dobit
HIFA-OIL d.o.o. Tešanj 129.188.406 522.161.905 97.905.915 115 Veliko 9.638.816 0 HIFA-OIL d.o.o. Tešanj 129.188.406 522.161.905 97.905.915 115 Veliko 9.638.816 0
AS D.O.O. JELAH-TEŠANJ 82.972.204 129.882.952 89.245 485 Veliko 3.927.520 0 AS D.O.O. JELAH-TEŠANJ 82.972.204 129.882.952 89.245 485 Veliko 3.927.520 0
MEPROMEX D.O.O. TEŠANJ 48.865.189 53.188.714 0 242 Veliko 3.795.820 0 HIFA D.O.O. TEŠANJ 38.690.825 83.140.065 1.058.403 164 Veliko 2.087.470 0
HIFA D.O.O. TEŠANJ 38.690.825 83.140.065 1.058.403 164 Veliko 2.087.470 0 MEPROMEX D.O.O. TEŠANJ 48.865.189 53.188.714 0 242 Veliko 3.795.820 0
FAREX D.O.O. TEŠANJ 26.789.787 48.289.455 718.040 64 Veliko 1.048.459 0 FAREX D.O.O. TEŠANJ 26.789.787 48.289.455 718.040 64 Veliko 1.048.459 0
SARAČEVIĆ d.o.o. Tešanj 14.872.589 20.185.143 1.028.634 45 Veliko 728.599 0 SARAČEVIĆ d.o.o. Tešanj 14.872.589 20.185.143 1.028.634 45 Veliko 728.599 0
SILK-TRADE d.o.o. Tešanj 12.194.492 14.238.300 456.724 108 Veliko 1.350.101 0 SILK-TRADE d.o.o. Tešanj 12.194.492 14.238.300 456.724 108 Veliko 1.350.101 0
ACŠ D.O.O. TEŠANJ 7.799.843 8.306.778 9.110 48 Veliko 286.218 0 PIRO-PROMET d.o.o. TEŠANJ 7.305.089 13.162.361 2.940 49 Veliko 524.362 0
PIRO-PROMET d.o.o. TEŠANJ 7.305.089 13.162.361 2.940 49 Veliko 524.362 0 MUKI D.O.O. TEŠANJ 6.334.886 10.943.032 0 70 Veliko 791.717 0
MUKI D.O.O. TEŠANJ 6.334.886 10.943.032 0 70 Veliko 791.717 0 ACŠ D.O.O. TEŠANJ 7.799.843 8.306.778 9.110 48 Veliko 286.218 0
EUROPA TRADE D.O.O. TEŠANJ 5.768.348 6.308.240 13.530 67 Srednje 104.101 0 TOČAK DOD TEŠANJ 3.834.882 7.183.261 0 26 Srednje 39.243 0
ILMA D.O.O. TEŠANJ 5.232.496 4.874.097 800 31 Srednje 752.604 0 EUROPA TRADE D.O.O. TEŠANJ 5.768.348 6.308.240 13.530 67 Srednje 104.101 0
HG d.o.o. 5.184.945 4.484.170 0 61 Srednje 853.904 0 HIFA-BENZ d.o.o. Tešanj 2.131.405 5.324.080 174.182 11 Srednje 214.334 0
TIK D.O.O. TEŠANJ 5.035.381 3.984.721 0 26 Srednje 229.455 0 OBNOVA d.o.o. Jelah 1.875.805 5.216.013 174.993 11 Srednje 331.253 0
TOČAK DOD TEŠANJ 3.834.882 7.183.261 0 26 Srednje 39.243 0 ILMA D.O.O. TEŠANJ 5.232.496 4.874.097 800 31 Srednje 752.604 0
DD VEMAL TEŠANJ 3.624.843 177.113 0 2 Malo 40.371 0 HG d.o.o. 5.184.945 4.484.170 0 61 Srednje 853.904 0
KISELJAK PRINCESS-DC d.o.o. Tešanj 2.971.199 2.754.738 0 16 Srednje 304.939 0 APOTEKA MEDIFARM TEŠANJ 1.743.356 4.357.647 0 20 Srednje 366.911 0
LIFE-OIL d.o.o. Jelah-Tešanj 2.911.942 4.272.304 233.548 18 Srednje 219.560 0 MEVA-KOMERC D.O.O. TEŠANJ 1.478.995 4.300.698 0 24 Srednje 162.910 0
DAR D.O.O. TEŠANJ 2.794.298 1.503.709 0 15 Malo 241.562 0 LIFE-OIL d.o.o. Jelah-Tešanj 2.911.942 4.272.304 233.548 18 Srednje 219.560 0
STAR-S d.o.o. TEŠANJ 2.735.735 2.459.477 0 31 Srednje 268.373 0 KA EM d.o.o. Tešanj 2.603.008 4.068.434 0 19 Srednje 187.483 0
268 269
275

