Page 45 - USK-final
P. 45
A Pregled pokazatelja finansijskog/financijskog poslovanja svih Overview of financial indicators for all companies PREGLED POK A Z ATELJA FINANSIJSKOG/FINANCIJSKOG POSLO V Overview of financial indicators for all companies A C
Pregled pokazatelja finansijskog/financijskog poslovanja svih ANJA PRIVREDNIH/
OVER VIEW OF FINANCIAL INDICATOR S F OR COMPANIES BY SEC TIONS OF
privrednih/gospodarskih društava
in Federation of Bosnia and Herzegovina
privrednih/gospodarskih društava u opštini/iopćini XXX
in municipality XXX
GOSPOD AR SKIH DRU Š TA V A PO PODRUČ JIMA DJEL ATNOSTI U GR ADU BIHA Ć U
ACTIVIT Y IN CIT Y OF BIHAĆ
Federacija BiH
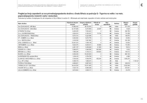
Pregled po prihodima od izvoza za sva privredna/gospodarska društva u Gradu Bihaću za područje G - Trgovina na veliko i na malo; Pregled po broju zaposlenih za sva privredna/gospodarska društva u Gradu Bihaću za područje G - Trgovina na veliko i na malo;
popravak/popravka motornih vozila i motocikala popravak/popravka motornih vozila i motocikala
Overview by export revenue for all companies in City of Bihać in section G - Wholesale and retail trade; reparation of motor vehicles and motorcycles Overview by number of employees for all companies in City of Bihać in section G - Wholesale and retail trade; reparation of motor vehicles and motorcycles
Broj
Ukupni
Broj
Naziv društva Vrijednost ukupne Ukupna vrijednost Prihodi od zaposlenih Veličina Ukupna Ukupni Naziv društva Vrijednost ukupne Ukupna vrijednost Prihodi od zaposlenih Veličina Ukupna gubitak
prihoda
prihoda
izvoza
dobit
dobit
gubitak
imovine
izvoza
imovine
D.O.O. LEGNO - SERVICE Bihać 4.598.826 2.689.310 2.479.971 6 Srednje 431.700 0 Doo ČAVKUNOVIĆ - BP Bihać 17.880.455 38.103.303 0 139 Veliko 371.578 0
K - UNI Systems d.o.o. Bihać 206.879 1.246.591 987.428 1 Malo 23.339 0 Doo ČAVKUNOVIĆ - BAU Bihać 12.167.469 6.070.869 26.487 96 Srednje 8.428 0
E-MACHINES d.o.o. BIHAĆ 98.982 963.597 916.697 2 Malo 28.323 0 B PHARM PZU Bihać 6.293.005 7.063.403 0 50 Srednje 294.782 0
DENARO d.o.o. Bihać 5.640.875 3.040.836 645.980 34 Srednje 5.632 0 D.o.o. EUROM DENIS Bihać 2.654.814 5.792.257 75.192 49 Srednje 115.299 0
BERLINA d.o.o. Bihać 7.968.206 4.726.212 558.803 31 Srednje 149.513 0 Doo ČAVKUNOVIĆ - TRADE Bihać 5.873.014 9.224.696 0 48 Veliko 148.974 0
ELUMATEC MASCHINEN d.o.o. Bihać 7.038.383 5.598.576 452.834 26 Srednje 1.085.270 0 HF - COMERC d.o.o. Bihać 4.904.834 5.670.776 0 48 Srednje 43.654 0
D.o.o. PELEX Bihać 1.090.347 1.276.000 376.469 3 Malo 40.364 0 d.o.o. WESTAL Bihać 3.038.558 7.667.892 0 47 Srednje 254.308 0
d.o.o. ADEX Bihać 89.041 244.747 242.045 1 Malo 77.594 0 OPAL-COMERCE d.o.o. Bihać 12.047.614 7.508.149 0 47 Srednje 53.824 0
STONE POINT - Prirodni kamen d.o.o. BIHAĆ 127.739 251.749 216.877 3 Malo 20.085 0 ENTKOMERC d.o.o. Bihać 5.820.374 6.608.431 60.860 38 Srednje 110.093 0
D.o.o. ABIMEX Bihać 561.094 551.373 208.193 2 Malo 52.782 0 BOB d.o.o. Bihać 2.261.197 5.206.262 21.900 34 Srednje 19.612 0
GALIĆ - PROMET d.o.o. Bihać 1.119.867 1.410.616 124.195 3 Malo 191.740 0 DENARO d.o.o. Bihać 5.640.875 3.040.836 645.980 34 Srednje 5.632 0
GALVATECH d.o.o. Bihać 248.725 229.895 113.461 4 Malo 0 33.374 BERLINA d.o.o. Bihać 7.968.206 4.726.212 558.803 31 Srednje 149.513 0
DFD-PROM d.o.o. BIHAĆ 46.906 122.752 105.610 2 Malo 3.470 0 BUSHEL d.o.o. Bihać 4.006.345 15.025.503 0 30 Srednje 660.194 0
NUCAD d.o.o. Bihać 59.831 76.653 76.607 1 Malo 1.190 0 EUROPHARM PZU apoteka Bihać 1.238.416 3.754.789 0 26 Srednje 4.866 0
D.o.o. EUROM DENIS Bihać 2.654.814 5.792.257 75.192 49 Srednje 115.299 0 ELUMATEC MASCHINEN d.o.o. Bihać 7.038.383 5.598.576 452.834 26 Srednje 1.085.270 0
ENTKOMERC d.o.o. Bihać 5.820.374 6.608.431 60.860 38 Srednje 110.093 0 D.o.o. BT-IL Bihać 4.569.019 1.696.547 0 24 Malo 0 1.154.537
D.o.o. SAS CONSULT Bihać 101.124 133.464 58.675 1 Malo 82.090 0 PETROL-P DOO Bihać 4.686.601 8.887.003 0 22 Veliko 349.618 0
Doo ČAVKUNOVIĆ - BAU Bihać 12.167.469 6.070.869 26.487 96 Srednje 8.428 0 FARMACIJA 2011 DOO Bihać 14.433.520 15.811.665 0 19 Veliko 3.932.548 0
INTERPANEL d.o.o. Bihać 3.083.930 4.832.330 24.362 8 Srednje 330.832 0 FAVORIT BH d.o.o. Bihać 7.524.134 8.940.526 0 19 Veliko 819.401 0
BOB d.o.o. Bihać 2.261.197 5.206.262 21.900 34 Srednje 19.612 0 LEJLA-COMMERC d.o.o. Bihać 3.610.654 3.938.121 0 16 Srednje 23.279 0
38 39
45

