Page 416 - USK-final
P. 416
C
A PREGLED POK A Z ATELJA FINANSIJSKOG/FINANCIJSKOG POSLO V Overview of financial indicators for all companies
Pregled pokazatelja finansijskog/financijskog poslovanja svih ANJA PRIVREDNIH/
OVER VIEW OF FINANCIAL INDICATOR S F OR COMPANIES BY SECTIONS OF
privrednih/gospodarskih društava
in Federation of Bosnia and Herzegovina
GOSPOD AR SKIH DRU Š TA V A PO PODRUČ JIMA DJEL ATNOS TI U OP Š TINI/OPĆINI
ACTIVIT Y IN MUNICIPALIT Y VELIKA KL ADU ŠA
Federacija BiH
VELIK A KL ADU ŠA
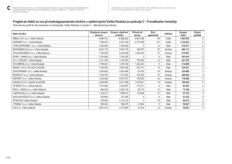
Pregled po dobiti za sva privredna/gospodarska društva u opštini/općini Velika Kladuša za područje C - Prerađivačka industrija
Overview by profit for all companies in municipality Velika Kladuša in section C - Manufacturing industry
Broj
Naziv društva Vrijednost ukupne Ukupna vrijednost Prihodi od zaposlenih Veličina Ukupna Ukupni
dobit
gubitak
izvoza
imovine
prihoda
MIRAL PVC d.o.o. Velika Kladuša 9.928.512 10.240.622 6.667.328 89 Veliko 1.293.854 0
AKROBAT d.o.o. Velika Kladuša 7.798.970 9.781.168 9.775.058 137 Veliko 1.132.493 0
STROJOPROMET d.o.o. Velika Kladuša 1.053.463 1.304.648 0 13 Malo 519.671 0
REGENERACIJA d.o.o. Velika Kladuša 6.815.170 5.570.176 328.377 87 Srednje 466.117 0
STOLARKOMERC d.o.o. Velika Kladuša 1.709.506 2.219.546 1.625.335 37 Srednje 410.607 0
ROHR - KAMIN d.o.o. Velika Kladuša 1.524.689 1.104.205 0 8 Malo 361.841 0
D.o.o. RIPLAST Velika Kladuša 1.211.378 1.161.879 779.820 12 Malo 327.276 0
KOV-METAL d.o.o. Velika Kladuša 1.795.921 1.270.196 1.252.304 5 Malo 314.088 0
MICRA D.O.O. VELIKA KLADUŠA 1.439.084 1.691.506 503.141 16 Malo 224.527 0
DRVOPROMET d.o.o. Velika Kladuša 3.305.650 4.024.268 50.423 25 Srednje 224.096 0
BENEDICT d.o.o. Velika Klalduša 1.436.764 1.774.465 219.305 70 Srednje 209.628 0
AIRVENT d.o.o. Velika Kladuša 1.629.099 5.570.737 156.553 44 Srednje 170.696 0
KOLMIX D.O.O. VELIKA KLADUŠA 2.283.965 2.211.828 1.018.251 18 Srednje 168.022 0
HF MONT d.o.o. Velika Kladuša 1.470.082 1.244.687 774.371 9 Malo 82.203 0
ROLO - MAKS d.o.o. Velika Kladuša 862.939 2.055.144 88.174 10 Malo 75.749 0
LIMOTEHNA d.o.o. Velika Kladuša 1.124.217 1.948.913 112.665 41 Malo 63.738 0
INOX-KOVAČEVIĆ d.o.o Velika Kladuša 363.800 512.385 0 8 Malo 61.232 0
ETAN DOO Velika Kladuša 576.825 2.143.139 0 18 Malo 60.674 0
PRIZMA d.o.o. Velika Kladuša 555.523 582.070 14.944 5 Malo 59.827 0
2 B d.o.o. Velika kladuša 3.531.414 3.110.845 91.433 12 Srednje 39.033 0
410
416

