Page 149 - USK-final
P. 149
A Pregled pokazatelja finansijskog/financijskog poslovanja svih Overview of financial indicators for all companies PREGLED POK A Z ATELJA FINANSIJSKOG/FINANCIJSKOG POSLO V Overview of financial indicators for all companies A B
Pregled pokazatelja finansijskog/financijskog poslovanja svih ANJA PRIVREDNIH/
OVER VIEW OF FINANCIAL INDICATOR S F OR COMPANIES IN MUNICIPALIT Y
privrednih/gospodarskih društava
privrednih/gospodarskih društava u opštini/iopćini XXX
in Federation of Bosnia and Herzegovina
in municipality XXX
BOSANSKI PETROVAC
GOSPOD AR SKIH DRU Š TA V A U OP Š TINI/OPĆINI BOSANSKI PETRO V A C
Federacija BiH
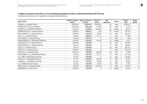
Pregled po ukupnoj imovini za sva privredna/gospodarska društva u opštini/općini Bosanski Petrovac Pregled po ukupnim prihodima za sva privredna/gospodarska društva u opštini/općini Bosanski Petrovac
Overview by value of total assets for all companies in municipality Bosanski Petrovac Overview by total revenue for all companies in municipality Bosanski Petrovac
Ukupni
Broj
Broj
Naziv društva Vrijednost ukupne Ukupna vrijednost Prihodi od zaposlenih Veličina Ukupna Ukupni Naziv društva Vrijednost ukupne Ukupna vrijednost Prihodi od zaposlenih Veličina Ukupna gubitak
imovine
prihoda
izvoza
prihoda
dobit
izvoza
gubitak
dobit
imovine
PIRNAR d.o.o. Bosanski Petrovac 45.843.402 30.458.764 29.684.082 120 Veliko 9.493.610 0 PIRNAR d.o.o. Bosanski Petrovac 45.843.402 30.458.764 29.684.082 120 Veliko 9.493.610 0
BOSNAPLAST d.d. Bosanski Petrovac 12.905.269 9.242.474 175.187 26 Veliko 4.547 0 BOSNAPLAST d.d. Bosanski Petrovac 12.905.269 9.242.474 175.187 26 Veliko 4.547 0
PLATINUM d.o.o Bosanski Petrovac 6.812.685 256.817 12.392 10 Srednje 0 40.508 HUSETIĆ d.o.o. BOSANSKI PETROVAC 2.370.374 3.739.651 1.566.619 20 Srednje 40.214 0
No 9 D.o.o. Bos. Petrovac 6.516.654 0 0 1 Srednje 0 8.474 PIRNAR-STAKLO d.o.o. Bosanski Petrovac 1.262.809 2.028.831 1.653 16 Srednje 447.447 0
INTERWORK d.o.o. Bosasnski Petrovac 5.676.029 297.834 0 5 Srednje 0 665.606 MELE COMPANY d.o.o Bosanski Petrovac 1.208.282 1.812.827 58.440 34 Malo 433.412 0
KOMUNALNO d.o.o Bos.Petrovac 5.502.094 1.037.093 0 31 Srednje 46.227 0 AM - Z d.o.o. Bosanski Petrovac 553.430 1.800.831 1.771.112 4 Malo 11.226 0
ANEM-KOMPANI d.o.o. BOSANSKI PETROVAC 4.356.594 1.610.928 231.693 18 Srednje 11.671 0 B.S.-TRADE d.o.o. Bosanski Petrovac 523.298 1.673.110 0 11 Malo 884 0
HUSETIĆ d.o.o. BOSANSKI PETROVAC 2.370.374 3.739.651 1.566.619 20 Srednje 40.214 0 ANEM-KOMPANI d.o.o. BOSANSKI PETROVAC 4.356.594 1.610.928 231.693 18 Srednje 11.671 0
DOM ZDRAVLJA Z.U. Bosanski Petrovac 2.258.209 1.532.048 0 39 Malo 202.638 0 DOM ZDRAVLJA Z.U. Bosanski Petrovac 2.258.209 1.532.048 0 39 Malo 202.638 0
UNA-LES d.o.o. Bosanski Petrovac 2.257.528 1.295.256 406.818 22 Malo 1.948 0 DENI-TRGOVINE d.o.o. Bosanski Petrovac 864.157 1.502.419 0 11 Malo 158.021 0
DIDOVIĆI d.o.o. Bosanski Petrovac 1.398.454 1.359.032 0 7 Malo 556.877 0 LOZIĆ d.o.o. Bosanski Petrovac 839.160 1.363.920 0 26 Malo 426.742 0
FANA - ARIFAGIĆ d.o.o. Bosanski Petrovac 1.306.275 782.366 0 12 Malo 5.098 0 DIDOVIĆI d.o.o. Bosanski Petrovac 1.398.454 1.359.032 0 7 Malo 556.877 0
PIRNAR-STAKLO d.o.o. Bosanski Petrovac 1.262.809 2.028.831 1.653 16 Srednje 447.447 0 UNA-LES d.o.o. Bosanski Petrovac 2.257.528 1.295.256 406.818 22 Malo 1.948 0
MELE COMPANY d.o.o Bosanski Petrovac 1.208.282 1.812.827 58.440 34 Malo 433.412 0 RHM COMERC D.o.o. BOSANSKI PETROVAC 572.425 1.255.185 1.124.737 13 Malo 161.728 0
D.o.o. MELIĆ GROUP Bosanski Petrovac 978.162 1.208.992 0 16 Malo 317.606 0 D.o.o. MELIĆ GROUP Bosanski Petrovac 978.162 1.208.992 0 16 Malo 317.606 0
DENI-TRGOVINE d.o.o. Bosanski Petrovac 864.157 1.502.419 0 11 Malo 158.021 0 KARTAL d.o.o. BOSANSKI PETROVAC 511.777 1.200.532 270.748 16 Malo 25.918 0
LOZIĆ d.o.o. Bosanski Petrovac 839.160 1.363.920 0 26 Malo 426.742 0 LEMBUS d.o.o. BOSANSKI PETROVAC 701.483 1.118.031 20.439 4 Malo 58.462 0
LEMBUS d.o.o. BOSANSKI PETROVAC 701.483 1.118.031 20.439 4 Malo 58.462 0 d.o.o.CANDELA Bosanski Petrovac 436.122 1.102.388 67.543 20 Malo 5.859 0
SEGMENT-M d.o.o. Bosanski Petrovac 577.164 1.087 0 0 Malo 0 9.753 MELL-PLAST d.o.o. Bosanski Petrovac 492.006 1.096.743 1.001.538 7 Malo 109.577 0
RHM COMERC D.o.o. BOSANSKI PETROVAC 572.425 1.255.185 1.124.737 13 Malo 161.728 0 KOMUNALNO d.o.o Bos.Petrovac 5.502.094 1.037.093 0 31 Srednje 46.227 0
142 143
149

