Page 551 - TK-final
P. 551
A Pregled pokazatelja finansijskog/financijskog poslovanja svih Overview of financial indicators for all companies PREGLED POK A Z ATELJA FINANSIJSKOG/FINANCIJSKOG POSLO VZ Overview of financial indicators for all companies A B C
Pregled pokazatelja finansijskog/financijskog poslovanja svih ANJA PRIVREDNIH/A ATELJA FINANSIJSKOG/FINANCIJSKOG POSLO V ANJA PRIVREDNIH/
PREGLED POK
O
OVER VIEW OF FINANCIAL INDICATOR S F OR COMPANIES IN MUNICIPALIT Y VER VIEW OF FINANCIAL INDICATOR S F OR COMPANIES B Y SEC TIONS OF
privrednih/gospodarskih društava
in Federation of Bosnia and Herzegovina
privrednih/gospodarskih društava u opštini/iopćini XXX
in municipality XXX
A
BANOVIĆIC TIVIT Y IN CIT Y OF TUZL A
GOSPOD AR SKIH DRU Š TA V A U OP Š TINI/OPĆINI BANO VIĆIAR SKIH DRU Š TA V A PO PODRUČ JIMA DJEL ATNOSTI U GR ADU TUZLI
GOSPOD
Federacija BiH
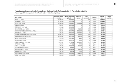
Pregled po broju zaposlenih za sva privredna/gospodarska društva u Gradu Tuzli za područje C - Prerađivačka industrija Pregled po dobiti za sva privredna/gospodarska društva u Gradu Tuzli za područje C - Prerađivačka industrija
Overview by number of employees for all companies in City of Tuzla in section C - Manufacturing industry Overview by profit for all companies in City of Tuzla in section C - Manufacturing industry
Ukupni
Broj
Broj
Naziv društva Vrijednost ukupne Ukupna vrijednost Prihodi od zaposlenih Veličina Ukupna Ukupni Naziv društva Vrijednost ukupne Ukupna vrijednost Prihodi od zaposlenih Veličina Ukupna gubitak
izvoza
prihoda
imovine
dobit
imovine
dobit
prihoda
izvoza
gubitak
INTRAL BH d.o.o. Tuzla 15.366.440 32.091.733 31.851.361 264 Veliko 32.171 0 PIVARA d.d. TUZLA 37.989.657 30.448.851 0 220 Veliko 4.170.215 0
KOALA AUTOMOTIVE d.o.o. Tuzla 709.805 3.112.701 0 261 Srednje 5.692 0 Xella BH d.o.o. TUZLA 37.135.843 17.222.244 0 55 Veliko 1.798.879 0
PIVARA d.d. TUZLA 37.989.657 30.448.851 0 220 Veliko 4.170.215 0 ELCOM d.o.o. TUZLA 14.950.953 30.459.527 23.220.396 39 Veliko 1.405.752 0
PROGETTI BOSNIA d.o.o. Tuzla 2.015.164 4.728.912 3.090.688 194 Srednje 205.912 0 SPIN d.o.o. TUZLA 1.705.201 2.813.818 0 40 Srednje 764.152 0
TEHNOPETROL d.o.o. TUZLA 6.159.647 7.309.807 192.242 176 Srednje 717.259 0 PRO ASFALT d.o.o. Tuzla 3.114.346 3.331.228 0 8 Srednje 745.803 0
MENPROM d.o.o. GORNJA TUZLA 16.514.664 21.210.019 680.064 168 Veliko 520.878 0 TEHNOPETROL d.o.o. TUZLA 6.159.647 7.309.807 192.242 176 Srednje 717.259 0
TRAKTIONSSYSTEME BOSNIA d.o.o. TUZLA 4.908.731 5.570.706 5.552.875 152 Srednje 676.974 0 TRAKTIONSSYSTEME BOSNIA d.o.o. TUZLA 4.908.731 5.570.706 5.552.875 152 Srednje 676.974 0
TTU energetik d.o.o. Tuzla 14.186.871 7.637.454 475.454 150 Srednje 98.218 0 GENELEC d.o.o. TUZLA 5.192.733 14.889.987 1.087.609 43 Veliko 644.740 0
MLIN I PEKARA d.d. LjUBAČE-TUZLA 22.272.697 10.374.494 0 139 Veliko 0 51.965 ELSTA MOSDORFER BOSNIA d.o.o. TUZLA 19.982.375 9.893.529 124.134 120 Veliko 611.126 0
ELSTA MOSDORFER BOSNIA d.o.o. TUZLA 19.982.375 9.893.529 124.134 120 Veliko 611.126 0 MENPROM d.o.o. GORNJA TUZLA 16.514.664 21.210.019 680.064 168 Veliko 520.878 0
DITA 1977 d.o.o. Tuzla 5.535.458 5.043.835 1.183.820 100 Srednje 0 2.109.605 OFF-SET d.o.o. TUZLA 919.958 1.565.948 4.450 19 Malo 488.296 0
DRAMPEK d.o.o. Tuzla 7.734.475 6.579.792 33.768 87 Srednje 317.986 0 DRAMPEK d.o.o. Tuzla 7.734.475 6.579.792 33.768 87 Srednje 317.986 0
RENTEX-COM d.o.o. TUZLA 4.418.726 6.005.293 5.845.241 85 Srednje 0 58.722 PROGETTI BOSNIA d.o.o. Tuzla 2.015.164 4.728.912 3.090.688 194 Srednje 205.912 0
ALPAMM d.o.o. TUZLA 4.295.190 6.351.584 13.183 78 Srednje 104.144 0 GRACIA d.o.o. TUZLA 1.412.312 714.258 17.488 10 Malo 181.622 0
KOGAT d.o.o. TUZLA 296.869 1.169.995 1.134.661 75 Malo 126.555 0 TIMING d.o.o. TUZLA 1.174.083 1.860.416 813.596 18 Malo 164.205 0
ELEKTRO-AGENT d.o.o. TUZLA 4.123.129 4.536.975 267.751 69 Srednje 95.618 0 ELEKTRO-NES d.o.o. TUZLA 1.122.447 807.811 0 2 Malo 146.359 0
Xella BH d.o.o. TUZLA 37.135.843 17.222.244 0 55 Veliko 1.798.879 0 METAL CROM d.o.o. TUZLA 684.147 1.054.634 689.235 13 Malo 142.970 0
UKUS I MIRIS GUSTO E SAPORE d.o.o. TUZLA 1.724.662 2.959.670 134.800 54 Srednje 6.062 0 FEROART d.o.o. TUZLA 747.306 318.198 23.000 2 Malo 142.808 0
ALINA d.o.o. TUZLA 62.341 529.450 0 48 Malo 21.563 0 KOTEX-DERMA d.o.o. TUZLA 2.594.019 5.515.559 1.366.117 6 Srednje 126.791 0
B&H STAINLESS d.o.o. TUZLA 3.608.979 2.264.182 828.578 44 Srednje 85.089 0 KOGAT d.o.o. TUZLA 296.869 1.169.995 1.134.661 75 Malo 126.555 0
544 545
551
551

