Page 342 - SBK-final
P. 342
C
A PREGLED POK A Z ATELJA FINANSIJSKOG/FINANCIJSKOG POSLO V Overview of financial indicators for all companies
OVER VIEW OF FINANCIAL INDICATOR S F OR COMPANIES BY SECTIONS OF
Pregled pokazatelja finansijskog/financijskog poslovanja svih ANJA PRIVREDNIH/GOSPOD AR SKIH
in Federation of Bosnia and Herzegovina
ACTIVIT Y IN MUNICIPALIT Y KISELJAK
privrednih/gospodarskih društava TI U OP Š TINI/OPĆINI KISELJAK
DRU ŠTA V A PO PODRUČ JIMA DJEL ATNOS
Federacija BiH
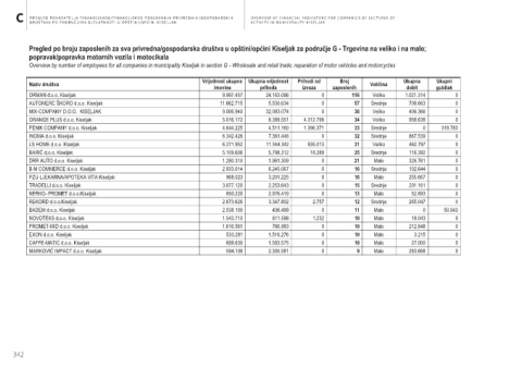
Pregled po broju zaposlenih za sva privredna/gospodarska društva u opštini/općini Kiseljak za područje G - Trgovina na veliko i na malo;
popravak/popravka motornih vozila i motocikala
Overview by number of employees for all companies in municipality Kiseljak in section G - Wholesale and retail trade; reparation of motor vehicles and motorcycles
Broj
Naziv društva Vrijednost ukupne Ukupna vrijednost Prihodi od zaposlenih Veličina Ukupna Ukupni
dobit
gubitak
izvoza
imovine
prihoda
ORMAN d.o.o. Kiseljak 9.997.457 24.163.086 0 116 Veliko 1.021.314 0
AUTOMERC ŠKORO d.o.o. Kiseljak 11.662.715 5.530.634 0 57 Srednje 708.663 0
MIX-COMPANY D.O.O. KISELJAK 9.006.940 32.083.074 0 38 Veliko 406.366 0
ORANGE PLUS d.o.o. Kiseljak 5.016.172 8.389.551 4.312.796 34 Veliko 958.638 0
PENIK COMPANY d.o.o. Kiseljak 4.644.225 4.511.160 1.396.371 33 Srednje 0 318.783
INOMA d.o.o. Kiseljak 6.342.426 7.361.448 0 32 Srednje 867.539 0
LS HOME d.o.o. Kiseljak 6.271.952 11.344.342 935.013 31 Veliko 462.797 0
BARIĆ d.o.o. Kiseljak 5.109.606 5.798.312 18.289 25 Srednje 116.392 0
DRR AUTO d.o.o. Kiseljak 1.280.310 1.961.309 0 21 Malo 326.761 0
B-M COMMERCE d.o.o. Kiseljak 2.933.014 6.245.067 0 16 Srednje 102.644 0
PZU-LJEKARNA/APOTEKA VITA Kiseljak 968.023 3.201.225 0 16 Malo 255.667 0
TRADELLI d.o.o. Kiseljak 3.877.120 2.253.643 0 15 Srednje 201.161 0
NERKO- PROMET d.o.o.Kiseljak 850.220 2.976.419 0 13 Malo 52.893 0
REKORD d.o.o.Kiseljak 2.673.626 3.347.802 2.757 12 Srednje 265.047 0
BADEM d.o.o. Kiseljak 2.538.100 436.499 0 11 Malo 0 50.043
NOVOTEKS d.o.o. Kiseljak 1.543.710 811.598 1.232 10 Malo 18.043 0
PROMET-MID d.o.o. Kiseljak 1.616.561 766.883 0 10 Malo 212.848 0
EXON d.o.o. Kiseljak 533.281 1.516.276 0 10 Malo 3.215 0
CAFFE-MATIC d.o.o. Kiseljak 699.630 1.593.575 0 10 Malo 27.000 0
MARKOVIĆ IMPACT d.o.o. Kiseljak 594.108 2.305.581 0 9 Malo 283.668 0
336
342

