Page 313 - SBK-final
P. 313
A Pregled pokazatelja finansijskog/financijskog poslovanja svih Overview of financial indicators for all companies PREGLED POK A Z ATELJA FINANSIJSKOG/FINANCIJSKOG POSLO V Overview of financial indicators for all companies A B
Pregled pokazatelja finansijskog/financijskog poslovanja svih ANJA PRIVREDNIH/GOSPOD AR SKIH
OVER VIEW OF FINANCIAL INDICATOR S F OR COMPANIES IN MUNICIPALIT Y
privrednih/gospodarskih društava
in Federation of Bosnia and Herzegovina
privrednih/gospodarskih društava u opštini/iopćini XXX
in municipality XXX
DRU Š TA V A U OP ŠTINI/OPĆINI KISELJAK
KISELJAK
Federacija BiH
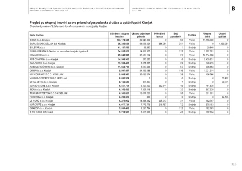
Opština/općina Kiseljak Pregled po ukupnoj imovini za sva privredna/gospodarska društva u opštini/općini Kiseljak
Overview by value of total assets for all companies in municipality Kiseljak
Municipality Kiseljak
Broj
Ukupni
Naziv društva Vrijednost ukupne Ukupna vrijednost Prihodi od zaposlenih Veličina Ukupna gubitak
prihoda
izvoza
imovine
dobit
TIBRA d.o.o. Kiseljak 133.174.581 22.945.390 0 50 Veliko 11.158.700 0
0
Veliko
SARAJEVSKI KISELJAK d.d. Kiseljak 95.306.654 94.056.024 386.064 341 Srednje 29.640 4.430.081
BULEVAR d.o.o.
0
41.187.535
0
1
56.650
EURO-IZGRADNJA Društvo za unutrašnu i vanjsku trgovinu fi 34.835.828 14.588.305 0 112 Veliko 1.892.391 0
Veliko
NOVA OTOKA d.o.o. 29.640.991 35.519.124 0 27 Srednje 10.114.988 0
0
14.998.903
2.439.831
ART COMPANY d.o.o Kiseljak
0
6
270.265
Pregled pokazatelja finansijskog/financijskog poslovanja privrednih/gospodarskih društava u BAR-FLOOR d.o.o Kiseljak 13.939.458 3.571.865 0 22 Srednje 348.215 0
5.530.634
708.663
57
opštini/općini Kiseljak AUTOMERC ŠKORO d.o.o. Kiseljak 11.662.715 24.163.086 0 116 Srednje 1.021.314 0
9.997.457
ORMAN d.o.o. Kiseljak
0
Veliko
0
Overview of financial indicators for companies in municipality Kiseljak MIX-COMPANY D.O.O. KISELJAK 9.006.940 32.083.074 0 38 Veliko 406.366 0
0
VUKOJA-COMERCE D.O.O KISELJAK 8.651.324 188.867 0 0 Srednje 0 15.462
8.165.539
1
0
70.291
0
METALMERC d.o.o. Kiseljak
Srednje
MARBO-STONE d.o.o. Kiseljak 6.557.751 6.125.020 692.344 49 Srednje 481.538 0
INOMA d.o.o. Kiseljak 6.342.426 7.361.448 0 32 Srednje 867.539 0
0
Veliko
TRANSPORTBETON D.O.O KISELJAK 6.301.823 12.071.220 0 58 Srednje 601.291 44.706
0
339
FEROTOMd.o.o. Kiseljak
6.292.320
0
0
Zbirni finansijski/financijski pokazatelji za sva privredna/gospodarska društva u opštini/općini Kiseljak LS HOME d.o.o. Kiseljak 6.271.952 11.344.342 935.013 31 Veliko 462.797 0
Aggregate financial indicators for all companies in municipality Kiseljak MARCAFFE d.o.o. Kiseljak 6.077.724 7.773.776 218.787 72 Srednje 675.153 0
GRAKOP d.o.o. Kiseljak 5.880.402 9.280.784 0 112 Veliko 182.083 0
Pokazatelj 2016 2017 2018 T.W.I. D.O.O. KISELJAK 5.719.956 6.505.590 0 47 Srednje 302.724 0
Broj privrednih/gospodarskih društava 249 252 243
Vrijednost ukupne imovine 592.054.067 568.200.804 631.780.057
Ukupna vrijednost prihoda 415.223.107 503.878.779 456.681.118
Prihodi od izvoza 27.810.162 36.636.918 30.922.782
Broj zaposlenih 2.685 2.761 2.764
Broj privrednih/gospodarskih društava sa dobiti 164 178 176
Ukupna dobit 45.063.122 45.975.875 43.445.530
Broj privrednih/gospodarskih društava sa gubitkom 72 58 52
Ukupni gubitak 4.838.499 3.812.973 7.864.082
306 307
313

