Page 177 - SBK-final
P. 177
A Pregled pokazatelja finansijskog/financijskog poslovanja svih Overview of financial indicators for all companies PREGLED POK A Z ATELJA FINANSIJSKOG/FINANCIJSKOG POSLO V Overview of financial indicators for all companies A B
O VER VIEW OF FINANCIAL INDICATOR S F OR COMPANIES IN MUNICIPALIT Y
Pregled pokazatelja finansijskog/financijskog poslovanja svih ANJA PRIVREDNIH/GOSPOD AR SKIH
privrednih/gospodarskih društava
in Federation of Bosnia and Herzegovina
privrednih/gospodarskih društava u opštini/iopćini XXX
in municipality XXX
F OJNICA
DRU Š TA V A U OP ŠTINI/OPĆINI F OJNICA
Federacija BiH
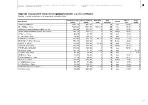
Pregled po prihodima od izvoza za sva privredna/gospodarska društva u opštini/općini Fojnica Pregled po broju zaposlenih za sva privredna/gospodarska društva u opštini/općini Fojnica
Overview by export revenue for all companies in municipality Fojnica Overview by number of employees for all companies in municipality Fojnica
Ukupni
Broj
Broj
Naziv društva Vrijednost ukupne Ukupna vrijednost Prihodi od zaposlenih Veličina Ukupna Ukupni Naziv društva Vrijednost ukupne Ukupna vrijednost Prihodi od zaposlenih Veličina Ukupna gubitak
dobit
gubitak
prihoda
izvoza
imovine
dobit
imovine
prihoda
izvoza
MS & WOOD d.d, Fojnica 16.648.355 13.691.564 12.406.048 292 Veliko 469.435 0 Lječilište Reumal Fojnica 34.215.732 9.973.242 0 376 Veliko 320.093 0
ŠUMAPLOD D.O.O FOJNICA 4.222.644 6.344.733 966.100 41 Srednje 52.149 0 MS & WOOD d.d, Fojnica 16.648.355 13.691.564 12.406.048 292 Veliko 469.435 0
MIAM D.O.O FOJNICA 1.707.465 1.739.162 724.895 29 Malo 283.012 0 JU Zavod za zbrinjavanje mentalno invalidnih lica - Drin 5.416.565 8.381.051 0 247 Veliko 59.058 0
PLAY ROOMS d.o.o. Fojnica 293.118 247.360 247.321 4 Malo 80.736 0 Zavod za zbrinjavanje mentalno invalidnih osoba Bakovići 7.893.123 4.879.530 0 110 Srednje 156.462 0
DRVOPLAM d.o.o. Fojnica 385.315 373.285 196.781 5 Malo 16.469 0 UNIMAX d.o.o. Fojnica 269.648 934.864 0 84 Malo 8.033 0
FOJNICA-PRIJEVOZ D.O.O FOJNICA 509.461 477.181 72.334 8 Malo 24.662 0 J.U. Dom zdravlja Fojnica 738.840 1.997.520 0 59 Malo 25.315 0
DP BAKOVIĆI Fojnica 560.957 119.312 40.924 3 Malo 0 45.886 ŠUMAPLOD D.O.O FOJNICA 4.222.644 6.344.733 966.100 41 Srednje 52.149 0
EXPRO d.o.o. Fojnica 2.343.134 221.333 31.606 16 Malo 0 581.625 ŠTAMPARIJA FOJNICA D.D. Fojnica 5.718.490 2.057.838 0 37 Srednje 42.234 0
TAURUS KGV d.o.o. Sarajevo 664.365 1.255.303 14.273 4 Malo 0 14.907 MIAM D.O.O FOJNICA 1.707.465 1.739.162 724.895 29 Malo 283.012 0
KADEX-DIZAJN d.o.o. Fojnica 15.150 9.079 8.644 0 Malo 0 1.274 JKP ŠĆONA d.o.o. Fojnica 5.007.479 1.171.856 0 25 Srednje 96.752 0
KARA-DRVO D.O.O FOJNICA 3.148.706 1.899.193 0 17 Malo 732.799 0
EXPRO d.o.o. Fojnica 2.343.134 221.333 31.606 16 Malo 0 581.625
TOVARIŠTE d.o.o. Fojnica 380.216 358.959 0 16 Malo 0 28.455
OSMEX d.o.o. Fojnica 197.292 366.433 0 15 Malo 16.334 0
ČOPE-COMPANY d.o.o. Fojnica 213.359 480.806 0 14 Malo 88.132 0
EKOSTAN d.o.o.Fojnica 1.222.972 3.722.951 0 13 Srednje 74.461 0
VH-GRADNJA d.o.o. Fojnica 651.197 301.722 0 12 Malo 10.579 0
ELEKTROVOD d.o.o. Fojnica 574.576 2.259.712 0 9 Malo 95.944 0
FOJNICA-PRIJEVOZ D.O.O FOJNICA 509.461 477.181 72.334 8 Malo 24.662 0
VFNT d.o.o. Fojnica 965.658 2.324.996 0 6 Malo 574.278 0
170 171
177

