Page 101 - PK-korekcija
P. 101
Overview of financial indicators for all companies verview of financial indicators for all companies
P
Overview of financial indicators for all companies verview of financial indicators for all companies
A Pregled pokazatelja finansijskog/financijskog poslovanja svih regled pokazatelja finansijskog/financijskog poslovanja svih O OR AŠ JE P A Z ATELJA FINANSIJSKOG/FINANCIJSKOG POSLO V O OVER VIEW OF FINANCIAL INDICATOR S F OR COMPANIES BY SEC TIONS OF A C
A
A
PREGLED POK
Pregled pokazatelja finansijskog/financijskog poslovanja svih regled pokazatelja finansijskog/financijskog poslovanja svih ANJA PRIVREDNIH/
privrednih/gospodarskih društava ivrednih/gospodarskih društava
pr
privrednih/gospodarskih društava u opštini/iopćini XXX rivrednih/gospodarskih društava u opštini/iopćini XXX
p
in
i
in Federation of Bosnia and Herzegovina n Federation of Bosnia and Herzegovina
in municipality XXX municipality XXX
GOSPOD AR SKIH DRU Š TA V A PO PODRUČ JIMA DJEL ATNOSTI U OP ŠTINI/OPĆINI
ACTIVIT Y IN MUNICIPALIT Y OR A Š JE
F
Federacija BiH ederacija BiH
Zbirni
P
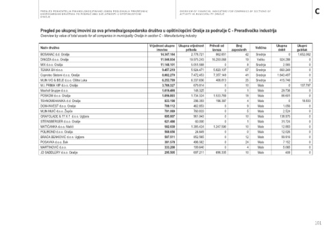
Zbirni finansijski/financijski pokazatelji za sva privredna/gospodarska društva u opštini/općini Orašje za područje C - Prerađivačka industrija finansijski/financijski pokazatelji za sva privredna/gospodarska društva u opštini/općini Orašje za područje C - Prerađivačka industrija Pregled po ukupnoj imovini za sva privredna/gospodarska društva u opštini/općini Orašje za područje C - Prerađivačka industrija regled po ukupnoj imovini za sva privredna/gospodarska društva u opštini/općini Orašje za područje C - Prerađivačka industrija
Aggregate financial indicators for all companies in municipality Orašje in section C - Manufacturing industry ggregate financial indicators for all companies in municipality Orašje in section C - Manufacturing industry Over
A
Overview by value of total assets for all companies in municipality Orašje in section C - Manufacturing industry view by value of total assets for all companies in municipality Orašje in section C - Manufacturing industry
U
B
U
Vrijednost ukupne Ukupna vrijednost dnost ukupne Ukupna vrijednost
Prih
Po
2016
Pokazatelj kazatelj 2016 2017 2018 N Vrije Prihodi od odi od Broj roj Veličina ličina Ukupna kupna Ukupni kupni
2017
2018
Naziv društva aziv društva
Ve
dobit t
imovine ovine
izvo
gubitak tak
p
36
40
Broj privrednih/gospodarskih društava oj privrednih/gospodarskih društava 38 40 36 im prihoda rihoda izvoza za z zaposlenih aposlenih dobi gubi
Br
38
14
Srednje ednje
1.
862.651 2.651
42
BOSANAC d.d. Orašje AC d.d. Orašje
2.778.721 778.721
75
79.281.309 .281.309
Vr 79 73 75.494.856 .494.856 BOSAN 14.347.164 .347.164 2. 86 42 Sr 0 0 1.652.062 652.062
Vrijednost ukupne imovine ijednost ukupne imovine
73.720.660 .720.660
D
19
11.546.934 .546.934
924.288 4.288
Veliko eliko
19
16
Uk 55 62 58 DINOZA d.o.o. Orašje INOZA d.o.o. Orašje 11 19.975.243 .975.243 16.250.068 .250.068 19 V 92 0 0
55.452.875 .452.875
Ukupna vrijednost prihoda upna vrijednost prihoda
62.929.749 .929.749
58.788.050 .788.050
Srednje ednje
11
2.
MIX d.o.o. Orašje IX d.o.o. Orašje
5.
35
Prihodi od izvoza ihodi od izvoza
31.956.945 .956.945
38.491.255 .491.255
Pr 31 38 35.418.013 .418.013 M 11.148.101 .148.101 5.051.588 051.588 0 0 8 8 Sr 2.565 565 0 0
5.924.471 924.471
5.820.107 820.107
67
9.457.219 457.219
66
Sr
T
374
392
331
Broj zaposlenih oj zaposlenih
Br 331 374 392 TEMAX BH d.o.o. EMAX BH d.o.o. 9. 5. 5. 67 Srednje ednje 660.249 0.249 0 0
41
7.357.149 357.149
8.082.270 082.270
7.472.453 472.453
Srednje ednje
1.643.497 643.497
Coprotec Sistemi d.o.o. Orašje oprotec Sistemi d.o.o. Orašje
Br
27
Broj privrednih/gospodarskih društava sa dobiti oj privrednih/gospodarskih društava sa dobiti 27 30 26 C 8. 7. 7. 41 Sr 1. 0 0
30
26
406.813 6.813
MLIN IVO & BELE d.o.o. Oštra Luka LIN IVO & BELE d.o.o. Oštra Luka
25
6.252.799 252.799
41
Srednje ednje
6.
U
Ukupna dobit kupna dobit 4. 3. 4. M 6. 6.337.656 337.656 40 25 Sr 415.746 5.746 0 0
4.161.036 161.036
4.349.418 349.418
3.902.552 902.552
137.797 7.797
67
M
3.
M
10
Br 8 8 8 8 9 9 M.I. PRIMA VIP d.o.o. Orašje .I. PRIMA VIP d.o.o. Orašje 3.769.327 769.327 679.814 9.814 0 0 10 Malo alo 0 0 13
Broj privrednih/gospodarskih društava sa gubitkom oj privrednih/gospodarskih društava sa gubitkom
14
Maxhof Gruppe d.o.o. axhof Gruppe d.o.o.
1.
29
M
U 916.882 6.882 1. 1. M 1.619.498 619.498 148.325 8.325 0 0 1 1 Malo alo 29.736 .736 0 0
1.140.207 140.207
1.924.155 924.155
Ukupni gubitak kupni gubitak
91
1.
88.601 .601
1.
18
M
1.
POSKOM d.o.o. Orašje M d.o.o. Orašje
POSKO 1.056.093 056.093 1.734.324 734.324 1.533.789 533.789 18 Malo alo 88 0 0
Malo alo
29
T TEHNOMEHANIKA d.d. Orašje EHNOMEHANIKA d.d. Orašje 823.190 3.190 296.393 6.393 19 4 4 M 0 0 18
82
196.387 6.387
18.833 .833
M
1.
709.112 9.112
DOM-INVEST d.o.o. Orašje M-INVEST d.o.o. Orašje
DO 70 462.853 2.853 0 0 9 9 Malo alo 1.056 056 0 0
46
701.089 1.089
MLIN MIJIĆ d.o.o. Žepče LIN MIJIĆ d.o.o. Žepče 70 760.833 0.833 0 0 5 5 Malo alo 2. 0 0
M
76
M
2.524 524
961.043 1.043
10
69
13
M
GRAFOLADE & 77 X 7 d.o.o. Ugljara AFOLADE & 77 X 7 d.o.o. Ugljara 695.607 5.607 96 0 0 10 Malo alo 138.975 8.975 0 0
GR
Malo alo
31.724 .724
STEINSBERGER d.o.o. Orašje EINSBERGER d.o.o. Orašje 62 60 0 0 1 1 M 31 0 0
ST
60.000 .000
621.486 1.486
MATIĆANKA d.o.o. Matići ATIĆANKA d.o.o. Matići 58 1. 1.247.590 247.590 10 M 12.883 .883 0 0
M
1.385.424 385.424
Malo alo
1.
582.630 2.630
10
12
24.649 .649
POLIR
12
Malo alo
56
POLIROND d.o.o. Orašje OND d.o.o. Orašje 560.656 0.656 24 0 0 0 0 M 12.026 .026 0 0
BRAĆA BENKOVIĆ d.o.o. Ugljara AĆA BENKOVIĆ d.o.o. Ugljara 507.511 7.511 85 0 0 12 Malo alo 99.916 .916 0 0
12
BR
852.565 2.565
50
M
99
7.152 152
49
POSAVKA d.o.o. Bok .o.o. Bok 381.578 1.578 496.562 6.562 0 0 24 Malo alo 7. 0 0
38
M
POSAVKA d
24
199.640 9.640
5.
333.200 3.200
M
M
MARTINOVIĆ d.o.o. ARTINOVIĆ d.o.o. 33 19 0 0 4 4 Malo alo 5.065 065 0 0
295.505 5.505
10
69
408
Malo alo
697.211 7.211
J JD SADDLERY d.o.o. Orašje D SADDLERY d.o.o. Orašje 29 69 696.335 6.335 10 M 408 0 0
95
94
94 95
101
101

