Page 71 - KS-final
P. 71
A Pregled pokazatelja finansijskog/financijskog poslovanja svih Overview of financial indicators for all companies PREGLED POK A Z ATELJA FINANSIJSKOG/FINANCIJSKOG POSLO V Overview of financial indicators for all companies A C
OVER VIEW OF FINANCIAL INDICATOR S F OR COMPANIES BY SEC TIONS OF
Pregled pokazatelja finansijskog/financijskog poslovanja svih ANJA PRIVREDNIH/
privrednih/gospodarskih društava
privrednih/gospodarskih društava u opštini/iopćini XXX
in Federation of Bosnia and Herzegovina
in municipality XXX
ACTIVIT Y IN MUNICIPALIT Y CENTAR
GOSPOD AR SKIH DRU Š TA V A PO PODRUČ JIMA DJEL ATNOSTI U OP ŠTINI/OPĆINI CENTAR
Federacija BiH
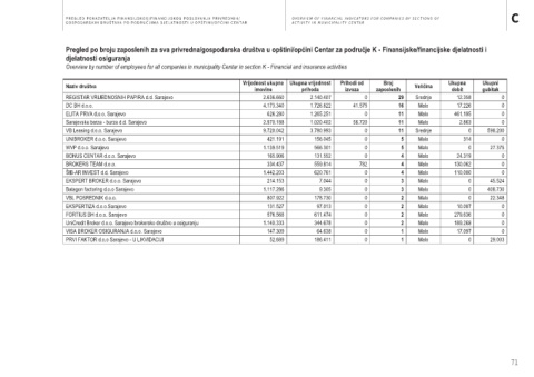
Pregled po ukupnim prihodima za sva privredna/gospodarska društva u opštini/općini Centar za područje K - Finansijske/financijske djelatnosti i Pregled po broju zaposlenih za sva privredna/gospodarska društva u opštini/općini Centar za područje K - Finansijske/financijske djelatnosti i
djelatnosti osiguranja djelatnosti osiguranja
Overview by total revenue for all companies in municipality Centar in section K - Financial and insurance activities Overview by number of employees for all companies in municipality Centar in section K - Financial and insurance activities
Ukupni
Broj
Broj
Naziv društva Vrijednost ukupne Ukupna vrijednost Prihodi od zaposlenih Veličina Ukupna Ukupni Naziv društva Vrijednost ukupne Ukupna vrijednost Prihodi od zaposlenih Veličina Ukupna gubitak
dobit
dobit
izvoza
prihoda
izvoza
gubitak
prihoda
imovine
imovine
VB Leasing d.o.o. Sarajevo 9.720.042 3.780.993 0 11 Srednje 0 598.200 REGISTAR VRIJEDNOSNIH PAPIRA d.d. Sarajevo 2.636.660 2.140.407 0 29 Srednje 12.358 0
REGISTAR VRIJEDNOSNIH PAPIRA d.d. Sarajevo 2.636.660 2.140.407 0 29 Srednje 12.358 0 DC BH d.o.o. 4.173.340 1.726.822 41.575 16 Malo 17.226 0
DC BH d.o.o. 4.173.340 1.726.822 41.575 16 Malo 17.226 0 ELITA PRVA d.o.o. Sarajevo 626.280 1.265.251 0 11 Malo 461.195 0
ELITA PRVA d.o.o. Sarajevo 626.280 1.265.251 0 11 Malo 461.195 0 Sarajevska berza - burza d.d. Sarajevo 2.970.188 1.020.402 56.720 11 Malo 2.863 0
Sarajevska berza - burza d.d. Sarajevo 2.970.188 1.020.402 56.720 11 Malo 2.863 0 VB Leasing d.o.o. Sarajevo 9.720.042 3.780.993 0 11 Srednje 0 598.200
ŠIB-AR INVEST d.d. Sarajevo 1.442.203 620.761 0 4 Malo 110.080 0 UNIBROKER d.o.o. Sarajevo 421.191 156.045 0 5 Malo 314 0
FORTIUS BH d.o.o. Sarajevo 576.568 611.474 0 2 Malo 279.636 0 WVP d.o.o. Sarajevo 1.139.519 566.301 0 5 Malo 0 27.375
WVP d.o.o. Sarajevo 1.139.519 566.301 0 5 Malo 0 27.375 BONUS CENTAR d.o.o. Sarajevo 165.906 131.552 0 4 Malo 24.319 0
BROKERS TEAM d.o.o. 334.437 559.814 782 4 Malo 130.062 0 BROKERS TEAM d.o.o. 334.437 559.814 782 4 Malo 130.062 0
UniCredit Broker d.o.o. Sarajevo brokersko društvo u osiguranju 1.140.333 344.678 0 2 Malo 189.268 0 ŠIB-AR INVEST d.d. Sarajevo 1.442.203 620.761 0 4 Malo 110.080 0
eBROKERS d.o.o. Sarajevo 431.817 275.434 0 0 Malo 108.265 0 EKSPERT BROKER d.o.o. Sarajevo 214.153 7.044 0 3 Malo 0 45.524
PRVI FAKTOR d.o.o Sarajevo - U LIKVIDACIJI 52.689 186.411 0 1 Malo 0 29.003 Batagon factoring d.o.o Sarajevo 1.117.286 9.305 0 3 Malo 0 408.730
VBL POSREDNIK d.o.o. 807.922 178.730 0 2 Malo 0 22.348 VBL POSREDNIK d.o.o. 807.922 178.730 0 2 Malo 0 22.348
UNIBROKER d.o.o. Sarajevo 421.191 156.045 0 5 Malo 314 0 EKSPERTIZA d.o.o.Sarajevo 131.527 97.013 0 2 Malo 10.087 0
BONUS CENTAR d.o.o. Sarajevo 165.906 131.552 0 4 Malo 24.319 0 FORTIUS BH d.o.o. Sarajevo 576.568 611.474 0 2 Malo 279.636 0
EKSPERTIZA d.o.o.Sarajevo 131.527 97.013 0 2 Malo 10.087 0 UniCredit Broker d.o.o. Sarajevo brokersko društvo u osiguranju 1.140.333 344.678 0 2 Malo 189.268 0
VISA BROKER OSIGURANJA d.o.o. Sarajevo 147.309 64.638 0 1 Malo 17.097 0 VISA BROKER OSIGURANJA d.o.o. Sarajevo 147.309 64.638 0 1 Malo 17.097 0
Batagon factoring d.o.o Sarajevo 1.117.286 9.305 0 3 Malo 0 408.730 PRVI FAKTOR d.o.o Sarajevo - U LIKVIDACIJI 52.689 186.411 0 1 Malo 0 29.003
EKSPERT BROKER d.o.o. Sarajevo 214.153 7.044 0 3 Malo 0 45.524
Pregled po prihodima od izvoza za sva privredna/gospodarska društva u opštini/općini Centar za područje K - Finansijske/financijske djelatnosti i
djelatnosti osiguranja
Overview by export revenue for all companies in municipality Centar in section K - Financial and insurance activities
Broj
Naziv društva Vrijednost ukupne Ukupna vrijednost Prihodi od zaposlenih Veličina Ukupna Ukupni
imovine
prihoda
gubitak
dobit
izvoza
Sarajevska berza - burza d.d. Sarajevo 2.970.188 1.020.402 56.720 11 Malo 2.863 0
DC BH d.o.o. 4.173.340 1.726.822 41.575 16 Malo 17.226 0
BROKERS TEAM d.o.o. 334.437 559.814 782 4 Malo 130.062 0
64 65
71

