Page 635 - KS-final
P. 635
A Pregled pokazatelja finansijskog/financijskog poslovanja svih Overview of financial indicators for all companies PREGLED POK A Z ATELJA FINANSIJSKOG/FINANCIJSKOG POSLO V Overview of financial indicators for all companies A B
Pregled pokazatelja finansijskog/financijskog poslovanja svih ANJA PRIVREDNIH/GOSPOD AR SKIH
OVER VIEW OF FINANCIAL INDICATOR S F OR COMPANIES IN MUNICIPALIT Y
privrednih/gospodarskih društava
privrednih/gospodarskih društava u opštini/iopćini XXX
in Federation of Bosnia and Herzegovina
in municipality XXX
VOGOŠĆA
DRU Š TA V A U OP ŠTINI/OPĆINI V OGOŠĆA
Federacija BiH
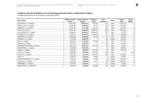
Pregled po ukupnoj imovini za sva privredna/gospodarska društva u opštini/općini Vogošća Pregled po ukupnim prihodima za sva privredna/gospodarska društva u opštini/općini Vogošća
Overview by value of total assets for all companies in municipality Vogošća Overview by total revenue for all companies in municipality Vogošća
Ukupni
Broj
Broj
Naziv društva Vrijednost ukupne Ukupna vrijednost Prihodi od zaposlenih Veličina Ukupna Ukupni Naziv društva Vrijednost ukupne Ukupna vrijednost Prihodi od zaposlenih Veličina Ukupna gubitak
imovine
prihoda
izvoza
prihoda
dobit
izvoza
gubitak
dobit
imovine
HIFA-PETROL d.o.o. Sarajevo 145.267.259 365.957.631 1.385.056 387 Veliko 10.014.754 0 HIFA-PETROL d.o.o. Sarajevo 145.267.259 365.957.631 1.385.056 387 Veliko 10.014.754 0
PRETIS d.d. Vogošća 131.853.337 50.098.905 29.426.303 346 Veliko 7.867.604 0 PENNY PLUS d.o.o. Sarajevo 80.480.465 76.043.622 121.817 419 Veliko 6.145.585 0
MIMS d.o.o. Sarajevo 99.517.885 5.627.627 0 3 Srednje 0 579.568 FARMAVITA d.o.o. Sarajevo 48.303.165 57.711.053 3.819.151 175 Veliko 4.761.605 0
PENNY PLUS d.o.o. Sarajevo 80.480.465 76.043.622 121.817 419 Veliko 6.145.585 0 PRETIS d.d. Vogošća 131.853.337 50.098.905 29.426.303 346 Veliko 7.867.604 0
FARMAVITA d.o.o. Sarajevo 48.303.165 57.711.053 3.819.151 175 Veliko 4.761.605 0 VOLKSWAGEN d.o.o. Vogošća 45.335.451 48.978.613 46.442.919 337 Veliko 111.575 0
VOLKSWAGEN d.o.o. Vogošća 45.335.451 48.978.613 46.442.919 337 Veliko 111.575 0 MUJANOVIĆI d.o.o. Vogošća 8.308.215 42.346.357 31.359.675 21 Veliko 336.046 0
MEDIMPEX d.o.o. Sarajevo 36.002.592 22.224.484 60.155 67 Veliko 352.882 0 MEDIMPEX d.o.o. Sarajevo 36.002.592 22.224.484 60.155 67 Veliko 352.882 0
TAREQ Hospitality d.o.o. Sarajevo 26.320.034 1.266.590 0 45 Srednje 0 2.057.641 STARLINE d.o.o. Sarajevo 4.183.284 22.025.376 0 26 Srednje 423.032 0
EMIRATES d.o.o. Sarajevo 21.774.017 2.090.823 0 1 Srednje 0 42.591 R&S d.o.o. Sarajevo 10.404.831 21.733.262 941.696 62 Veliko 2.714.273 0
HAYAT d.o.o. Sarajevo 18.883.488 8.591.082 2.483.153 168 Veliko 0 8.355 FARMIS d.o.o. Sarajevo 5.022.318 11.092.874 0 26 Veliko 241.493 0
MERKUR d.d. Sarajevo 18.753.920 471.055 0 1 Srednje 0 231.316 UNIONINVESTPLASTIKA d.d. Sarajevo 14.822.148 10.875.197 1.425.532 97 Veliko 29.851 0
MURAI-KOMERC d.o.o. Vogošća 18.683.051 5.615.731 0 14 Srednje 10.810 0 NOVOPHARM d.o.o. Sarajevo 2.482.989 10.827.220 0 3 Veliko 264.670 0
BOSNA AUTO d.d. Sarajevo 17.771.939 1.516.892 0 13 Srednje 1.141.562 0 HAGER d.o.o. Sarajevo 4.924.163 9.884.693 3.432.106 19 Veliko 226.571 0
Teledigital d.d. Sarajevo 16.338.129 2.604.486 668.619 13 Srednje 71.363 0 HAYAT d.o.o. Sarajevo 18.883.488 8.591.082 2.483.153 168 Veliko 0 8.355
UNIONINVESTPLASTIKA d.d. Sarajevo 14.822.148 10.875.197 1.425.532 97 Veliko 29.851 0 PRAKTIK d.o.o. Sarajevo 9.492.140 8.213.675 3.037.787 124 Veliko 1.446.368 0
ENERGONOVA d.d. Sarajevo 13.144.609 1.005.751 0 4 Srednje 223.436 0 ALDA d.o.o. 1.926.102 7.991.362 730.993 5 Srednje 341.079 0
SEDŽAN-INGENERING d.o.o. Sarajevo 11.759.697 7.280.033 33.832 13 Srednje 3.139.290 0 SEDŽAN-INGENERING d.o.o. Sarajevo 11.759.697 7.280.033 33.832 13 Srednje 3.139.290 0
BAGS-ENERGOTEHNIKA d.d. Vogošća 11.672.988 2.849.106 0 27 Srednje 88.663 0 VmS group d.o.o. Sarajevo 4.620.543 7.222.930 34.011 18 Srednje 2.484.442 0
GRANOFF d.o.o. Sarajevo 10.784.218 3.433.290 73.338 42 Srednje 170.901 0 INTERCAMP d.o.o. Sarajevo 5.718.976 6.832.933 0 21 Srednje 52.304 0
R&S d.o.o. Sarajevo 10.404.831 21.733.262 941.696 62 Veliko 2.714.273 0 MBA-CENTAR d.o.o. SARAJEVO 6.644.244 6.155.523 690.489 112 Srednje 133.468 0
628 629
635

