Page 485 - KS-final
P. 485
A Pregled pokazatelja finansijskog/financijskog poslovanja svih Overview of financial indicators for all companies PREGLED POK A Z ATELJA FINANSIJSKOG/FINANCIJSKOG POSLO V Overview of financial indicators for all companies A C
Pregled pokazatelja finansijskog/financijskog poslovanja svih ANJA PRIVREDNIH/GOSPOD AR SKIH
OVER VIEW OF FINANCIAL INDICATOR S F OR COMPANIES BY SEC TIONS OF
privrednih/gospodarskih društava
privrednih/gospodarskih društava u opštini/iopćini XXX
in Federation of Bosnia and Herzegovina
in municipality XXX
ACTIVIT Y IN MUNICIPALIT Y NO VO SAR AJEVO
DRU Š TA V A PO PODRUČ JIMA DJEL ATNOS TI U OP ŠTINI/OPĆINI NO V O SAR AJEV O
Federacija BiH
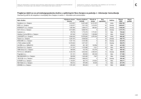
Pregled po broju zaposlenih za sva privredna/gospodarska društva u opštini/općini Novo Sarajevo za područje J - Informacije i komunikacije Pregled po dobiti za sva privredna/gospodarska društva u opštini/općini Novo Sarajevo za područje J - Informacije i komunikacije
Overview by number of employees for all companies in municipality Novo Sarajevo in section J - Information and communication Overview by profit for all companies in municipality Novo Sarajevo in section J - Information and communication
Ukupni
Broj
Broj
Naziv društva Vrijednost ukupne Ukupna vrijednost Prihodi od zaposlenih Veličina Ukupna Ukupni Naziv društva Vrijednost ukupne Ukupna vrijednost Prihodi od zaposlenih Veličina Ukupna gubitak
imovine
prihoda
izvoza
prihoda
dobit
izvoza
gubitak
dobit
imovine
FIA 1.242.906 4.549.569 850 123 Srednje 174.292 0 Symphony d.o.o. Sarajevo 9.416.957 14.291.428 14.151.875 79 Veliko 3.892.728 0
ZIRA d.o.o. Sarajevo 18.687.995 6.138.053 4.064.754 96 Srednje 175.196 0 MOP d.o.o. Sarajevo 2.320.677 7.421.129 7.415.875 63 Srednje 2.000.451 0
LOGOSOFT d.o.o. Sarajevo 9.846.448 15.578.260 2.070.102 89 Veliko 688.365 0 INTERSOFT d.o.o. Sarajevo 1.687.849 2.689.317 685.942 43 Srednje 1.388.259 0
ADRIA NEWS BH PRODUCTION d.o.o. 705.160 3.586.545 3.567.606 80 Srednje 104.588 0 KATV HS d.o.o. Sarajevo 6.510.865 6.686.753 0 22 Srednje 1.197.376 0
Symphony d.o.o. Sarajevo 9.416.957 14.291.428 14.151.875 79 Veliko 3.892.728 0 Kodecta d.o.o. 976.794 1.715.374 1.715.181 16 Malo 729.444 0
MOP d.o.o. Sarajevo 2.320.677 7.421.129 7.415.875 63 Srednje 2.000.451 0 Glasfaser Connect BH d.o.o. Sarajevo 847.626 1.337.654 1.328.666 10 Malo 703.007 0
DATASOFT d.o.o. Sarajevo 3.068.876 1.316.285 1.291.294 60 Srednje 193.338 0 LOGOSOFT d.o.o. Sarajevo 9.846.448 15.578.260 2.070.102 89 Veliko 688.365 0
SIMURG MEDIA d.o.o. Sarajevo 983.419 2.376.043 0 56 Srednje 19.095 0 Payten d.o.o. Sarajevo 9.281.973 5.836.520 0 34 Srednje 646.775 0
TELEVIZIJA JEDAN d.o.o. Sarajevo 6.600.449 4.143.199 0 50 Srednje 106.396 0 BAMCARD d.o.o. Sarajevo 4.261.152 2.430.366 0 26 Srednje 623.678 0
JP NIO službeni list BIH 12.976.643 4.977.497 0 47 Srednje 596.976 0 JP NIO službeni list BIH 12.976.643 4.977.497 0 47 Srednje 596.976 0
INTERSOFT d.o.o. Sarajevo 1.687.849 2.689.317 685.942 43 Srednje 1.388.259 0 OLIVEBH d.o.o. SARAJEVO 499.003 891.195 149.588 11 Malo 441.659 0
OBN D.D. Sarajevo 14.725.465 7.172.490 1.177.902 39 Srednje 0 6.590.598 NextVision d.o.o. Sarajevo 1.101.243 1.415.986 5.421 20 Malo 426.172 0
ERC ZIPO d.o.o. Sarajevo 1.760.041 1.642.467 120.952 35 Malo 2.636 0 OMR Globus d.o.o. Sarajevo 584.839 572.755 572.755 8 Malo 409.102 0
Payten d.o.o. Sarajevo 9.281.973 5.836.520 0 34 Srednje 646.775 0 FIST D.O.O. SARAJEVO 6.354.478 4.832.962 2.356.545 13 Srednje 384.065 0
BAMCARD d.o.o. Sarajevo 4.261.152 2.430.366 0 26 Srednje 623.678 0 Pragmatio d.o.o. 531.181 859.650 855.306 12 Malo 371.982 0
d.o.o. NTH MEDIA Sarajevo 1.613.557 3.437.642 453.931 25 Srednje 100.823 0 5th DIMENSION d.o.o. Sarajevo 546.589 1.020.266 7.627 9 Malo 315.049 0
KATV HS d.o.o. Sarajevo 6.510.865 6.686.753 0 22 Srednje 1.197.376 0 REVICON d.o.o. Sarajevo 4.558.420 1.886.253 0 20 Srednje 306.346 0
REVICON d.o.o. Sarajevo 4.558.420 1.886.253 0 20 Srednje 306.346 0 EUROBIT d.o.o. Sarajevo 1.148.387 952.774 218.932 18 Malo 289.217 0
NextVision d.o.o. Sarajevo 1.101.243 1.415.986 5.421 20 Malo 426.172 0 NEX Studio d.o.o. Sarajevo 593.312 974.055 54.636 8 Malo 261.576 0
EUROBIT d.o.o. Sarajevo 1.148.387 952.774 218.932 18 Malo 289.217 0 ZEMANA d.o.o. Sarajevo 1.591.435 993.232 0 10 Malo 248.648 0
478 479
485

