Page 469 - KS-final
P. 469
A Pregled pokazatelja finansijskog/financijskog poslovanja svih Overview of financial indicators for all companies PREGLED POK A Z ATELJA FINANSIJSKOG/FINANCIJSKOG POSLO V Overview of financial indicators for all companies A C
Pregled pokazatelja finansijskog/financijskog poslovanja svih ANJA PRIVREDNIH/GOSPOD AR SKIH
OVER VIEW OF FINANCIAL INDICATOR S F OR COMPANIES BY SEC TIONS OF
privrednih/gospodarskih društava
in Federation of Bosnia and Herzegovina
privrednih/gospodarskih društava u opštini/iopćini XXX
in municipality XXX
DRU Š TA V A PO PODRUČ JIMA DJEL ATNOS TI U OP ŠTINI/OPĆINI NO V O SAR AJEV O
ACTIVIT Y IN MUNICIPALIT Y NO VO SAR AJEVO
Federacija BiH
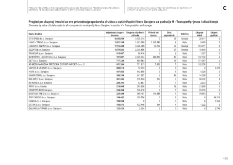
Zbirni finansijski/financijski pokazatelji za sva privredna/gospodarska društva u opštini/općini Novo Sarajevo za područje H - Transport/prijevoz i Pregled po ukupnoj imovini za sva privredna/gospodarska društva u opštini/općini Novo Sarajevo za područje H - Transport/prijevoz i skladištenje
skladištenje Overview by value of total assets for all companies in municipality Novo Sarajevo in section H - Transportation and storage
Aggregate financial indicators for all companies in municipality Novo Sarajevo in section H - Transportation and storage
Vrijednost ukupne Ukupna vrijednost Prihodi od Broj Ukupna Ukupni
Naziv društva Veličina
Pokazatelj 2016 2017 2018 imovine prihoda izvoza zaposlenih dobit gubitak
Broj privrednih/gospodarskih društava 29 29 26 DTS-ŠPED d.o.o. Sarajevo 6.046.850 3.535.014 0 27 Srednje 20.517 0
Vrijednost ukupne imovine 14.891.782 15.372.062 16.947.383 HANO - TRANS d.o.o. Sarajevo 1.821.190 1.623.889 1.156.147 9 Malo 9.409 0
Ukupna vrijednost prihoda 16.699.545 17.148.249 17.984.955 LOGISTIC AGENT d.o.o. Sarajevo 1.115.420 3.028.789 54.252 67 Srednje 313.011 0
Prihodi od izvoza 1.601.766 1.573.702 2.000.502 SEZATOd.o.o.Sarajevo 1.079.926 2.000.856 0 21 Srednje 10.600 0
Broj zaposlenih 261 289 289 TRANSAR d.o.o. Sarajevo 918.607 66.416 0 2 Malo 1.307 0
Broj privrednih/gospodarskih društava sa dobiti 20 21 21 INTERŠPED LOGISTICS d.o.o. Sarajevo 767.807 2.079.434 669.810 40 Malo 107.732 0
Ukupna dobit 839.557 871.329 1.054.463 GLT d.o.o. Sarajevo 717.320 890.583 0 13 Malo 171.057 0
Broj privrednih/gospodarskih društava sa gubitkom 9 8 5 AB MEĐUNARODNA ŠPEDICIJA EXPORT-IMPORT d.o.o. S 651.280 531.913 5.482 5 Malo 102.076 0
Ukupni gubitak 306.076 226.989 56.963 VIATOR & VEKTOR d.o.o. Sarajevo 609.018 12.733 0 0 Malo 0 3.473
HARE d.o.o. Sarajevo 447.562 442.855 0 7 Malo 4.229 0
SAMIR-EMIRd.o.o. Sarajevo 390.330 841.897 0 49 Malo 14.298 0
IDA-SPED d.o.o. Sarajevo 361.335 735.833 102 5 Malo 58.732 0
INTRANS d.o.o. Sarajevo 289.303 53.857 0 1 Malo 2.533 0
ARNY d.o.o. Mostar 279.064 375.608 0 18 Malo 21.908 0
ORANTES DOO Sarajevo 254.204 546.218 0 1 Malo 83.035 0
BOSTANI-TREID d.o.o. Sarajevo 225.409 385.101 114.545 1 Malo 78.803 0
TOP CARGO d.o.o. Sarajevo 194.462 309.554 0 2 Malo 0 48.316
DAMAS d.o.o. Sarajevo 169.250 0 0 0 Malo 0 2.350
EXTAR d.o.o. Sarajevo 169.076 132.446 164 4 Malo 1.222 0
BALKANIJA TRANS d.o.o. Sarajevo 123.423 2.324 0 0 Malo 0 2.746
462 463
469

