Page 130 - KS-final
P. 130
C
A PREGLED POK A Z ATELJA FINANSIJSKOG/FINANCIJSKOG POSLO V Overview of financial indicators for all companies
OVER VIEW OF FINANCIAL INDICATOR S F OR COMPANIES BY SECTIONS OF
Pregled pokazatelja finansijskog/financijskog poslovanja svih ANJA PRIVREDNIH/
privrednih/gospodarskih društava
in Federation of Bosnia and Herzegovina
ACTIVIT Y IN MUNICIPALIT Y HAD ŽIĆI
GOSPOD AR SKIH DRU Š TA V A PO PODRUČ JIMA DJEL ATNOS TI U OP Š TINI/OPĆINI HAD ŽIĆI
Federacija BiH
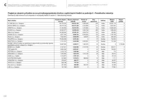
Pregled po ukupnim prihodima za sva privredna/gospodarska društva u opštini/općini Hadžići za područje C - Prerađivačka industrija
Overview by total revenue for all companies in municipality Hadžići in section C - Manufacturing industry
Broj
Naziv društva Vrijednost ukupne Ukupna vrijednost Prihodi od zaposlenih Veličina Ukupna Ukupni
dobit
gubitak
izvoza
imovine
prihoda
CC HBC B-H d.o.o. Sarajevo 134.774.230 150.619.105 5.006.269 278 Veliko 30.381.118 0
AKOVA IMPEX d.o.o. Sarajevo 65.519.128 144.215.320 5.720.969 211 Veliko 3.637.852 0
ARGETA d.o.o. Sarajevo 57.293.856 62.503.954 3.753.665 132 Veliko 14.685.828 0
OVAKO d.o.o. Sarajevo 34.525.977 36.995.834 3.040.724 255 Veliko 1.499.436 0
MilkoS d.d. Sarajevo 40.248.548 25.385.161 2.634.703 122 Veliko 165.452 0
ADANA CO d.o.o. Sarajevo 6.817.164 8.896.703 8.545.820 125 Veliko 1.187.759 0
RAJZ d.o.o. Sarajevo 7.824.901 8.464.659 128.407 83 Veliko 606.326 0
TELOPTIC d.o.o. Sarajevo 75.046.258 6.678.302 0 17 Srednje 732.590 0
BOLETUS d.o.o. Sarajevo 4.151.074 5.024.000 4.835.991 27 Srednje 714.188 0
BOSNET GROUP Društvo sa ograničenom odgovornošću za proizvodnju trgovinu 18.667.609 4.429.011 1.462.878 33 Srednje 0 1.735.966
ugostiteljstvo promet i usluge d.o.o. Sarajevo
BEGEX d.o.o. Hadžići 5.127.321 3.529.586 3.137.759 43 Srednje 402.911 0
TRZ Hadžići DD 8.692.490 2.063.067 0 43 Srednje 736.653 0
PETITOR d.o.o. Sarajevo 3.216.719 1.929.066 0 29 Malo 715 0
ADOLADO d.o.o. Sarajevo 1.872.556 1.857.974 1.313.120 24 Malo 40.812 0
AEMS d.o.o. Hadžići 1.014.677 1.570.139 0 7 Malo 37.318 0
KLEJTON DOO Hadžići 521.985 1.279.672 964.630 13 Malo 1.111 0
VEGA-PAK d.o.o. Sarajevo 278.097 842.577 0 2 Malo 26.977 0
SAVICO d.o.o. Sarajevo 829.194 770.743 0 15 Malo 39.493 0
Imp coils d.o.o. Sarajevo 261.594 640.806 583.797 5 Malo 44.489 0
LIBE d.o.o. Sarajevo 197.704 624.515 0 4 Malo 77.681 0
124
130

