Page 37 - HNK-final
P. 37
A Pregled pokazatelja finansijskog/financijskog poslovanja svih Overview of financial indicators for all companies PREGLED POK A Z ATELJA FINANSIJSKOG/FINANCIJSKOG POSLO V Overview of financial indicators for all companies A C
Pregled pokazatelja finansijskog/financijskog poslovanja svih ANJA PRIVREDNIH/
OVER VIEW OF FINANCIAL INDICATOR S F OR COMPANIES BY SECTIONS OF
privrednih/gospodarskih društava
in Federation of Bosnia and Herzegovina
privrednih/gospodarskih društava u opštini/iopćini XXX
in municipality XXX
ACTIVIT Y IN MUNICIPALIT Y ČAPLJINA
GOSPOD AR SKIH DRU ŠTA V A PO PODRUČ JIMA DJELATNOSTI U OP Š TINI/OPĆINI Č APLJINA
Federacija BiH
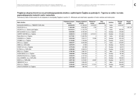
Pregled po gubitku za sva privredna/gospodarska društva u opštini/općini Čapljina za područje F - Građevinarstvo Pregled po ukupnoj imovini za sva privredna/gospodarska društva u opštini/općini Čapljina za područje G - Trgovina na veliko i na malo;
Overview by loss for all companies in municipality Čapljina in section F - Construction popravak/popravka motornih vozila i motocikala
Overview by value of total assets for all companies in municipality Čapljina in section G - Wholesale and retail trade; reparation of motor vehicles and motorcycles
Broj
Naziv društva Vrijednost ukupne Ukupna vrijednost Prihodi od zaposlenih Veličina Ukupna Ukupni
prihoda
imovine
gubitak
dobit
izvoza
Broj
Ukupni
GIP NERETVA d.d. Čapljina 6.395.593 191.411 0 2 Srednje 0 4.038 Naziv društva Vrijednost ukupne Ukupna vrijednost Prihodi od zaposlenih Veličina Ukupna gubitak
prihoda
imovine
dobit
izvoza
CREMMIS d.o.o. 490.150 0 0 0 Malo 0 332 BAKALAR-KOMERCd.o.o. TREBIŽAT-ČAPLJINA 28.383.670 41.199.420 2.910.670 76 Veliko 4.224.027 0
HELIOS BH d.o.o. 11.893.999 9.595.582 1.760 17 Veliko 0 1.681.301
Zbirni finansijski/financijski pokazatelji za sva privredna/gospodarska društva u opštini/općini Čapljina za područje G - Trgovina na veliko i na DALMATA d.o.o. Gabela poljeČapljina 10.616.813 11.152.778 0 73 Veliko 160.504 0
malo; popravak/popravka motornih vozila i motocikala METALINVEST Co d.o.o. Čapljina 6.524.663 6.164.203 0 13 Srednje 218.563 0
Aggregate financial indicators for all companies in municipality Čapljina in section G - Wholesale and retail trade; reparation of motor vehicles and motorcycles CARPET CENTAR d.o.o. Čapljina 6.436.612 2.145.865 2.013.414 84 Srednje 131.222 0
Rebac-Benz d.o.o. Čapljina 6.317.061 11.284.784 0 48 Veliko 251.606 0
Pokazatelj 2016 2017 2018 GRANUM d.o.o. Čapljina 5.263.004 7.635.217 70.968 24 Srednje 325.239 0
Broj privrednih/gospodarskih društava 90 91 90 PROMEX d.o.o. Čapljina 5.135.895 7.748.056 0 50 Srednje 52.851 0
Vrijednost ukupne imovine 129.117.804 134.377.205 144.883.270 ERO d.o.o. Čapljina 4.593.577 9.044.006 0 31 Veliko 519.407 0
Ukupna vrijednost prihoda 163.166.839 173.775.157 181.121.116 ANIK d.o.o. ČAPLJINA 4.387.875 21.655 0 0 Srednje 18.014 0
Prihodi od izvoza 3.230.316 4.232.527 9.590.629 HANDY & Co d.o.o. Čapljina 4.375.034 321.806 0 2 Srednje 32.815 0
Broj zaposlenih 615 676 787 ELTING d.o.o. ČAPLJINA 4.308.646 4.546.614 0 10 Srednje 55.550 0
Broj privrednih/gospodarskih društava sa dobiti 66 62 72 INEO d.o.o. Čapljina 3.790.788 1.984.191 0 10 Malo 23.706 0
Ukupna dobit 7.728.540 8.337.141 8.937.495 SUŠAK BENZ 2 d.o.o. Čapljina 3.668.888 7.493.806 0 18 Srednje 98.196 0
Broj privrednih/gospodarskih društava sa gubitkom 16 20 13 ENERGOVALVES d.o.o. Čapljina 3.638.610 2.127.332 0 37 Srednje 3.753 0
Ukupni gubitak 1.646.934 4.295.810 2.088.407 KALA-KOMERC d.o.o. ČAPLJINA 3.007.898 9.450.041 0 24 Srednje 136.820 0
MISIR d.o.o. ČAPLJINA 2.597.189 3.315.651 23.667 14 Srednje 94.717 0
OBRADOVIĆ d.o.o. 2.362.467 1.994.452 0 10 Malo 264.423 0
NIDA d.o.o. Čapljina 2.236.452 2.909.750 117.912 10 Srednje 190.648 0
CROATIA-REMONT d.d. Čapljina 2.056.854 386.189 0 5 Malo 3.040 0
30 31
37

