Page 32 - 2020_08_05_Unsko-sanski kanton
P. 32
PREGLED FINANSIJSKIH/FINANCIJSKIH POKAZATELJA OVERVIEW OF FINANCIAL INDICATORS
FOR COMPANIES IN MUNICIPALITIES AND CITIES
A PRIVREDNIH/GOSPODARSKIH DRUŠTAVA PO OPŠTINAMA/OPĆINAMA I GRADOVIMA Overview of financial indicators for all companies
Pregled pokazatelja finansijskog/financijskog poslovanja svih
in Federation of Bosnia and Herzegovina
privrednih/gospodarskih društava
OF UNA-SANA CANTON
UNSKO-SANSKOG KANTONA
Federacija BiH
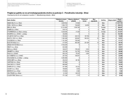
Pregled po gubitku za sva privredna/gospodarska društva za područje C - Prerađivačka industrija - Bihać
Overview by loss for all companies in section C - Manufacturing industry - Bihać
Vrijednost ukupne Ukupna vrijednost Prihodi od Broj Ukupni
Naziv društva Veličina Ukupna dobit
imovine prihoda izvoza zaposlenih gubitak
DI&DE DELIĆ d.o.o. Bihać 2.605.542 61.664 0 0 Malo 0 1.337.705
TERA - NOVA d.o.o. Bihać 1.804.173 154.645 24.008 0 Malo 0 630.472
BIRA d.d. Bihać 12.153.945 1.000.784 0 3 Srednje 0 386.487
KAMEN d.o.o. Bihać 579.173 0 0 0 Malo 0 278.324
ŽITOPRERADA d.d. Bihać u stečaju 9.228.595 21.528 0 1 Srednje 0 273.457
EKODRVO d.o.o. BIHAĆ - u stečaju 332.846 0 0 0 Malo 0 142.390
ATLANTIS VCAP d.o.o. Bihać 1.762.602 222.310 197.785 4 Malo 0 76.909
MASTEL CNC d.o.o. Bihać 1.582.068 393.667 390.320 22 Malo 0 63.551
COLONIUM d.o.o. Bihać 1.181.365 159.594 0 1 Malo 0 51.137
BLEUTEX Bihać d.o.o. 417.504 463.363 251.839 15 Malo 0 49.163
GREEN WATER Bihać d.o.o. 5.724.294 0 0 1 Malo 0 36.917
SINIAT d.o.o. Bihać 643.086 1 0 1 Malo 0 35.851
BBS d.o.o. BIHAĆ 148.227 176.245 2.525 8 Malo 0 30.625
GRABEŽ d.o.o Bihać 135.199 122.750 79.166 3 Malo 0 28.096
PAUK d.o.o. BIHAĆ 553.218 75.207 4.940 2 Malo 0 23.955
EE-COMERCE d.o.o. BIHAĆ 281.530 185.001 0 3 Malo 0 22.009
KRAJINAMETAL d.d. Bihać - u stečaju 5.080.888 0 0 0 Malo 0 21.240
HIDRO-MET d.o.o. Bihać 293.254 80.194 0 2 Malo 0 18.491
VARPOND d.o.o. Bihać 157.899 0 0 0 Malo 0 15.655
UNA GAS d.o.o. BIHAĆ 665.606 0 0 1 Malo 0 14.376
KAMEN EH d.o.o. Bihać 401.899 55.223 0 1 Malo 0 9.104
GIGANT d.o.o. Bihać 708.685 3.820 0 1 Malo 0 7.974
IMŠIREVIĆ d.o.o. Bihać 173.833 2.564 0 1 Malo 0 7.350
HSH-TRADE d.o.o. Bihać 61.334 62.914 0 1 Malo 0 6.925
COLOR PRINT Bihać d.o.o. 171.126 1.715 0 0 Malo 0 5.142
32 Finansijsko-informatička agencija

