Page 150 - 2020_08_05_Kanton 10
P. 150
PREGLED FINANSIJSKIH/FINANCIJSKIH POKAZATELJA OVERVIEW OF FINANCIAL INDICATORS
FOR COMPANIES IN MUNICIPALITIES AND CITIES
A PRIVREDNIH/GOSPODARSKIH DRUŠTAVA PO OPŠTINAMA/OPĆINAMA I GRADOVIMA Overview of financial indicators for all companies
Pregled pokazatelja finansijskog/financijskog poslovanja svih
privrednih/gospodarskih društava
in Federation of Bosnia and Herzegovina
KANTONA 10
OF CANTON 10
Federacija BiH
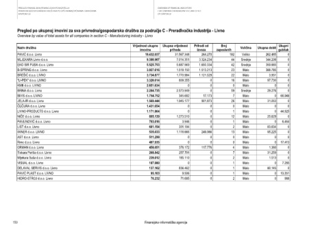
Pregled po ukupnoj imovini za sva privredna/gospodarska društva za područje C - Prerađivačka industrija - Livno
Overview by value of total assets for all companies in section C - Manufacturing industry - Livno
Vrijednost ukupne Ukupna vrijednost Prihodi od Broj Ukupni
Naziv društva Veličina Ukupna dobit
imovine prihoda izvoza zaposlenih gubitak
PAVIĆ d.o.o. Livno 19.432.037 31.567.348 264.270 182 Veliko 262.485 0
MLJEKARA Livno d.o.o. 9.380.907 7.014.351 3.324.234 44 Srednje 344.208 0
EKO SIR PUĐA d.o.o. Livno 5.525.753 5.687.569 1.650.334 42 Srednje 359.665 0
B-SPRING d.o.o. Livno 3.927.616 1.518.150 1.513.213 23 Malo 388.785 0
BREŠIĆ d.o.o. LIVNO 3.734.877 1.770.984 1.121.529 22 Malo 3.951 0
"LI-PEK" d.o.o. LIVNO 3.320.614 809.355 0 16 Malo 97.730 0
KMB d.o.o. LIVNO 2.651.634 0 0 0 Malo 0 0
BRINA d.o.o. Livno 2.284.735 2.573.949 0 59 Srednje 29.276 0
BIVIS d.o.o. LIVNO 1.754.752 345.682 17.173 7 Malo 0 66.948
JELA-IR d.o.o. Livno 1.569.444 1.945.177 901.873 26 Malo 31.053 0
ČEČURA d.o.o. Livno 1.431.654 0 0 0 Malo 0 0
LIVNO-PRODUCTS d.o.o. Livno 1.171.864 0 0 1 Malo 0 44.925
NIČE d.o.o. Livno 895.139 1.273.510 0 12 Malo 25.629 0
PAVLINOVIĆ d.o.o. Livno 703.016 3.946 0 1 Malo 0 6.464
LIST d.o.o. Livno 681.154 301.184 0 2 Malo 83.634 0
WINER d.o.o. LIVNO 535.033 1.118.666 249.966 13 Malo 95.225 0
AST d.o.o. Livno 511.299 0 0 0 Malo 0 0
Rimc d.o.o. Livno 497.935 0 0 0 Malo 0 17.413
ORMAN d.o.o. Livno 458.051 376.172 117.776 4 Malo 1.380 0
Tiskara Periša d.o.o. Livno 268.842 257.791 0 7 Malo 31.259 0
Mljekara Suša d.o.o. Livno 239.012 185.110 0 2 Malo 1.513 0
VISUAL d.o.o. Livno 187.980 0 0 1 Malo 0 7.265
DELAVAL SERVIS d.o.o. Livno 137.162 836.462 0 1 Malo 80.145 0
PAVIĆ PLAST d.o.o. LIVNO 95.103 9.506 0 1 Malo 0 13.351
HIDRO-STROJ d.o.o. Livno 76.232 71.685 0 2 Malo 0 966
150 Finansijsko-informatička agencija

