Page 542 - 2020_08_05_Tuzlanski kanton
P. 542
PREGLED FINANSIJSKIH/FINANCIJSKIH POKAZATELJA OVERVIEW OF FINANCIAL INDICATORS
FOR COMPANIES IN MUNICIPALITIES AND CITIES
A PRIVREDNIH/GOSPODARSKIH DRUŠTAVA PO OPŠTINAMA/OPĆINAMA I GRADOVIMA Overview of financial indicators for all companies
Pregled pokazatelja finansijskog/financijskog poslovanja svih
in Federation of Bosnia and Herzegovina
privrednih/gospodarskih društava
OF TUZLA CANTON
TUZLANSKOG KANTONA
Federacija BiH
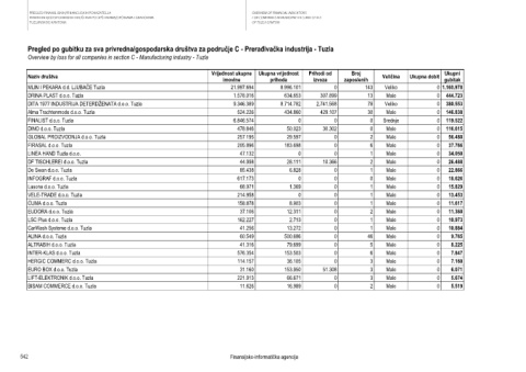
Pregled po gubitku za sva privredna/gospodarska društva za područje C - Prerađivačka industrija - Tuzla
Overview by loss for all companies in section C - Manufacturing industry - Tuzla
Vrijednost ukupne Ukupna vrijednost Prihodi od Broj Ukupni
Naziv društva Veličina Ukupna dobit
imovine prihoda izvoza zaposlenih gubitak
MLIN I PEKARA d.d. LJUBAČE Tuzla 21.997.694 8.996.101 0 143 Veliko 0 1.160.978
DRINA PLAST d.o.o. Tuzla 1.578.016 634.653 307.899 13 Malo 0 444.723
DITA 1977 INDUSTRIJA DETERDŽENATA d.o.o. Tuzla 9.346.389 8.714.782 2.741.568 78 Veliko 0 380.553
Alma Trachtenmode d.o.o. Tuzla 524.226 434.860 429.107 30 Malo 0 146.838
FINALIST d.o.o. Tuzla 6.846.574 0 0 0 Srednje 0 119.522
DINO d.o.o. Tuzla 478.846 50.023 30.302 0 Malo 0 116.615
GLOBAL PROIZVODNJA d.o.o. Tuzla 257.195 29.597 0 2 Malo 0 56.480
FIRASAL d.o.o. Tuzla 205.896 183.698 0 6 Malo 0 37.766
LINEA HAND Tuzla d.o.o. 47.132 0 0 1 Malo 0 34.050
DF TISCHLEREI d.o.o. Tuzla 44.998 28.111 10.366 2 Malo 0 26.488
De Swan d.o.o. Tuzla 85.438 6.828 0 1 Malo 0 22.866
INFOGRAF d.o.o. Tuzla 617.173 0 0 0 Malo 0 18.626
Lasona d.o.o. Tuzla 68.971 1.369 0 1 Malo 0 15.829
VELE-TRADE d.o.o. Tuzla 214.958 0 0 1 Malo 0 13.453
ĆUMA d.o.o. Tuzla 158.878 8.903 0 1 Malo 0 11.617
EUDORA d.o.o. Tuzla 37.106 12.311 0 2 Malo 0 11.360
LSC Plus d.o.o. Tuzla 162.227 2.713 0 1 Malo 0 10.973
CarWash Systeme d.o.o. Tuzla 41.256 13.272 0 1 Malo 0 10.884
ALINA d.o.o. Tuzla 60.549 500.686 0 46 Malo 0 9.765
ALTRABIH d.o.o. Tuzla 41.316 79.699 0 5 Malo 0 8.225
INTER-KLAS d.o.o. Tuzla 576.354 153.503 0 6 Malo 0 7.847
HERGIC COMMERC d.o.o. Tuzla 114.157 36.105 0 3 Malo 0 7.160
EURO BOX d.o.o. Tuzla 31.160 153.950 51.308 3 Malo 0 6.071
LIFT-ELEKTRONIK d.o.o. Tuzla 221.913 66.671 0 3 Malo 0 5.674
BISAM COMMERCE d.o.o. Tuzla 11.626 16.989 0 2 Malo 0 5.519
542 Finansijsko-informatička agencija

