Page 557 - 2020_08_05_Srednjobosanski kanton
P. 557
PREGLED FINANSIJSKIH/FINANCIJSKIH POKAZATELJA OVERVIEW OF FINANCIAL INDICATORS
PRIVREDNIH/GOSPODARSKIH DRUŠTAVA PO OPŠTINAMA/OPĆINAMA FOR COMPANIES IN MUNICIPALITIES
SREDNJOBOSANSKOG KANTONA OF CENTRAL BOSNIA CANTON
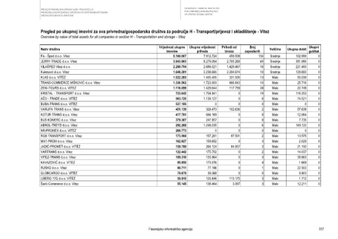
Pregled po ukupnoj imovini za sva privredna/gospodarska društva za područje H - Transport/prijevoz i skladištenje - Vitez
Overview by value of total assets for all companies in section H - Transportation and storage - Vitez
Vrijednost ukupne Ukupna vrijednost Prihodi od Broj Ukupni
Naziv društva Veličina Ukupna dobit
imovine prihoda izvoza zaposlenih gubitak
Fis - Šped d.o.o. Vitez 5.160.067 7.912.724 459.508 134 Srednje 102.999 0
JERRY-TRADE d.o.o. Vitez 3.943.903 8.279.064 2.705.268 40 Srednje 381.066 0
VILAŠPED Vitez d.o.o. 2.280.754 2.688.021 1.429.467 16 Srednje 221.483 0
Kulenović d.o.o. Vitez 1.648.201 2.238.665 2.204.674 10 Srednje 129.693 0
KLAS d.o.o. VITEZ 1.522.265 1.405.405 331.505 13 Malo 55.039 0
TRANS-COMMERCE MIŠKOVIĆ d.o.o. Vitez 1.336.562 1.723.903 666.843 10 Malo 25.716 0
ZENI-TOURS d.o.o. VITEZ 1.116.099 1.429.644 117.759 24 Malo 22.749 0
KRISTAL - TRANSPORT d.o.o. Vitez 723.642 1.754.941 0 19 Malo 116.253 0
AČO - TRADE d.o.o. VITEZ 563.725 1.139.127 0 6 Malo 74.521 0
BUBA-TRANS d.o.o. VITEZ 537.185 0 0 0 Malo 0 0
VARUPA TRANS d.o.o. Vitez 451.139 328.473 102.636 2 Malo 57.638 0
KOTUR TRANS d.o.o. Vitez 417.781 684.169 0 8 Malo 12.064 0
BUS KOMERC d.o.o. Vitez 379.307 247.957 0 9 Malo 7.735 0
ABROL-TREYD d.o.o. Vitez 292.268 1.248.035 0 6 Malo 149.122 0
NR-PROMEX d.o.o. VITEZ 266.773 0 0 0 Malo 0 0
RGB TRANSPORT d.o.o. Vitez 173.568 157.281 87.501 2 Malo 13.575 0
MAT-PROM d.o.o. Vitez 162.027 159.652 0 3 Malo 2.029 0
JADIĆ-PROMET d.o.o. VITEZ 159.789 264.124 84.957 3 Malo 21.150 0
VARTRANS d.o.o. Vitez 122.442 175.702 0 2 Malo 14.037 0
VITEZ-TRANS d.o.o. Vitez 109.310 133.964 0 3 Malo 35.663 0
KAVAZOVIĆ d.o.o. VITEZ 95.950 173.076 0 4 Malo 1.669 0
RUSKO d.o.o. Vitez 90.711 77.186 0 1 Malo 22.502 0
GLOBCARGO d.o.o. VITEZ 79.079 39.368 0 0 Malo 9.803 0
LIBERO 17G d.o.o. VITEZ 59.915 125.846 113.175 3 Malo 1.712 0
Šarić-Commerce d.o.o. Vitez 55.145 138.464 3.067 3 Malo 12.211 0
Finansijsko-informatička agencija 557

