Page 552 - 2020_08_05_Kanton Sarajevo
P. 552
PREGLED FINANSIJSKIH/FINANCIJSKIH POKAZATELJA OVERVIEW OF FINANCIAL INDICATORS
FOR COMPANIES IN MUNICIPALITIES AND CITIES
A PRIVREDNIH/GOSPODARSKIH DRUŠTAVA PO OPŠTINAMA/OPĆINAMA I GRADOVIMA Overview of financial indicators for all companies
Pregled pokazatelja finansijskog/financijskog poslovanja svih
privrednih/gospodarskih društava
in Federation of Bosnia and Herzegovina
OF SARAJEVO CANTON
KANTONA SARAJEVO
Federacija BiH
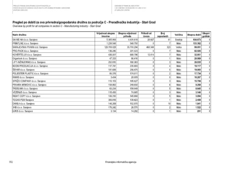
Pregled po dobiti za sva privredna/gospodarska društva za područje C - Prerađivačka industrija - Stari Grad
Overview by profit for all companies in section C - Manufacturing industry - Stari Grad
Vrijednost ukupne Ukupna vrijednost Prihodi od Broj Ukupni
Naziv društva Veličina Ukupna dobit
imovine prihoda izvoza zaposlenih gubitak
GA ME HA d.o.o. Sarajevo 5.305.993 4.401.618 20.927 41 Srednje 934.673 0
PRINTLINE d.o.o. Sarajevo 1.238.548 549.750 0 7 Malo 133.362 0
SARAJEVSKA PIVARA d.d. Sarajevo 129.709.029 35.703.294 460.349 323 Veliko 99.051 0
PRO-PACK d.o.o. Sarajevo 136.245 201.523 0 7 Malo 82.505 0
KOVERTELUX d.o.o. Sarajevo 436.007 669.796 12.414 7 Malo 32.951 0
Organlook d.o.o. Sarajevo 47.333 66.416 0 1 Malo 20.989 0
LIFT-INŽINJERING d.o.o. Sarajevo 252.815 180.363 0 3 Malo 20.935 0
BOOM PRODUKCIJA d.o.o. Sarajevo 117.741 235.683 0 4 Malo 19.117 0
ŠEHAR d.o.o. Sarajevo 181.606 256.475 0 5 Malo 19.065 0
POLIESTER PLASTIC d.o.o. Sarajevo 85.376 174.911 0 2 Malo 17.734 0
RAMIS d.o.o. Sarajevo 3.434 20.009 0 0 Malo 16.267 0
SPRŽO COMPANY d.o.o. Sarajevo 113.153 195.627 0 3 Malo 15.708 0
PEKARA MEMOVIC d.o.o. Sarajevo 158.862 248.650 0 6 Malo 9.268 0
TRDELNIK d.o.o. Sarajevo 63.234 159.949 0 5 Malo 8.645 0
VEZENJE d.o.o. Sarajevo 115.450 74.885 0 3 Malo 3.146 0
RIGHT COPY d.o.o. Sarajevo 106.310 145.868 0 5 Malo 3.094 0
TEGAS-PEM Sarajevo 306.818 139.423 0 1 Malo 2.409 0
DAMLA d.o.o. Sarajevo 146.269 152.970 0 10 Malo 1.841 0
3HB d.o.o. Sarajevo 176.242 26.570 0 2 Malo 1.522 0
IURIS d.o.o. Sarajevo 3.134 14.292 0 1 Malo 201 0
552 Finansijsko-informatička agencija

