Page 95 - 2020_08_05_Hercegovačko-neretvanski kanton
P. 95
PREGLED FINANSIJSKIH/FINANCIJSKIH POKAZATELJA OVERVIEW OF FINANCIAL INDICATORS
PRIVREDNIH/GOSPODARSKIH DRUŠTAVA PO OPŠTINAMA/OPĆINAMA I GRADOVIMA FOR COMPANIES IN MUNICIPALITIES AND CITIES
HERCEGOVAČKO-NERETVANSKOG KANTONA OF HERZEGOVINA-NERETVA CANTON
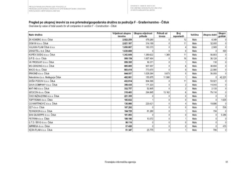
Pregled po ukupnoj imovini za sva privredna/gospodarska društva za područje F - Građevinarstvo - Čitluk
Overview by value of total assets for all companies in section F - Construction - Čitluk
Vrijednost ukupne Ukupna vrijednost Prihodi od Broj Ukupni
Naziv društva Veličina Ukupna dobit
imovine prihoda izvoza zaposlenih gubitak
ZK KOMERC d.o.o. Čitluk 2.922.259 478.280 0 12 Malo 4.349 0
DOM 90 d.o.o. Čitluk 2.821.167 314.189 0 11 Malo 32.000 0
VULKAN-PLAM Čitluk d.o.o. 1.650.067 183.373 0 4 Malo 2.569 0
GRADITELJ d.d. Čitluk 1.630.660 0 0 0 Malo 0 400
KOPEX DODIG d.o.o. Čitluk 1.342.649 1.389.622 1.369 11 Malo 56.803 0
G.P.B. d.o.o. Čitluk 999.154 1.067.464 0 16 Malo 36.124 0
VK PRODUKT d.o.o. Čitluk 958.395 16.371 0 1 Malo 110 0
MO-GRADING d.o.o. Čitluk 805.085 907.007 0 6 Malo 36.694 0
MACO d.o.o. Čitluk 803.418 773.670 0 9 Malo 22.980 0
ERKOND d.o.o. Čitluk 644.557 1.028.264 5.673 5 Malo 35.055 0
Nekretnine d.o.o. Međugorje Čitluk 492.081 155.875 11.906 1 Malo 0 42.221
GOŠA PODOVI d.o.o. Čitluk 432.814 904.368 0 11 Malo 53.921 0
GAVA COMPANY d.o.o. Čitluk 356.435 171.323 0 2 Malo 14.543 0
MAT-ING d.o.o. Čitluk 332.757 52.805 0 2 Malo 2.133 0
GEOCON d.o.o. Čitluk 318.403 294.895 13.162 6 Malo 79.114 0
ĆIKO INŽINJERING d.o.o. Čitluk 221.355 0 0 0 Malo 0 0
TOPTRONIK d.o.o. Čitluk 185.032 1 0 0 Malo 0 1.635
CO MARTINOVIĆ d.o.o. Čitluk 136.066 220.421 0 4 Malo 19.896 0
EET d.o.o. Čitluk 107.292 0 0 0 Malo 0 506
TEHNOKON d.o.o. Čitluk 104.729 81.280 0 1 Malo 154 0
SAN GIUSEPPE d.o.o. Čitluk 101.093 0 0 0 Malo 0 5.286
PETRINA d.o.o. Čitluk 100.106 13.072 0 1 Malo 0 0
G.T.D. ŠEVO d.o.o. Čitluk 90.116 0 0 0 Malo 0 0
IMPRESA d.o.o. Čitluk 57.420 0 0 0 Malo 0 470
KERA PLAM d.o.o. Čitluk 51.347 25.775 0 1 Malo 706 0
Finansijsko-informatička agencija 95

