Page 103 - 2020_08_05_Hercegovačko-neretvanski kanton
P. 103
PREGLED FINANSIJSKIH/FINANCIJSKIH POKAZATELJA OVERVIEW OF FINANCIAL INDICATORS
PRIVREDNIH/GOSPODARSKIH DRUŠTAVA PO OPŠTINAMA/OPĆINAMA I GRADOVIMA FOR COMPANIES IN MUNICIPALITIES AND CITIES
HERCEGOVAČKO-NERETVANSKOG KANTONA OF HERZEGOVINA-NERETVA CANTON
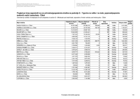
Pregled po broju zaposlenih za sva privredna/gospodarska društva za područje G - Trgovina na veliko i na malo; popravak/popravka
motornih vozila i motocikala - Čitluk
Overview by number of employees for all companies in section G - Wholesale and retail trade; reparation of motor vehicles and motorcycles - Čitluk
Vrijednost ukupne Ukupna vrijednost Prihodi od Broj Ukupni
Naziv društva Veličina Ukupna dobit
imovine prihoda izvoza zaposlenih gubitak
UNION FOODS d.o.o. Čitluk 44.437.068 64.398.274 789.684 192 Veliko 3.413.385 0
ANDREA & GIOVANNI d.o.o. Čitluk 20.262.970 34.797.838 799.148 162 Veliko 1.100.447 0
MALIŠIĆ d.o.o. Čitluk 14.314.837 25.867.164 0 156 Veliko 104.540 0
MALIŠIĆ MP d.o.o. Čitluk 15.620.658 21.636.221 0 107 Veliko 809.024 0
DUGA-TEHNA Čitluk d.o.o. 7.307.222 10.348.454 20.205 57 Veliko 308.300 0
BARE COMMERCE d.o.o. Čitluk 4.695.080 14.743.135 0 49 Veliko 335.638 0
FRATELIS Čitluk d.o.o. 7.539.127 1.729.794 0 42 Srednje 44.028 0
DŽIDA d.o.o. Čitluk 9.021.439 9.206.576 286.772 33 Veliko 1.622.460 0
HOLLI d.o.o. Čitluk 2.601.750 780.655 0 30 Malo 321.554 0
DEISDERIO d.o.o. Bijakovići Čitluk 2.799.960 1.200.608 3.493 26 Malo 180.917 0
KARAKA PROMET d.o.o. Čitluk 3.434.417 2.314.227 0 25 Srednje 77.548 0
SATELIT - tbm HB d.o.o. Čitluk 3.975.281 4.565.618 0 25 Srednje 280.508 0
BROTIS d.o.o. Čitluk 3.676.717 3.728.294 919.423 24 Srednje 347.919 0
JERKOVIĆ d.o.o. Čitluk 6.077.329 2.599.698 0 24 Srednje 215.699 0
SELAK d.o.o. Čitluk 1.671.579 3.826.355 0 23 Srednje 73.642 0
AMAI MS Čitluk d.o.o. 2.341.162 3.873.355 0 21 Srednje 36.222 0
UNITED FAMILY d.o.o. Čitluk 1.517.430 3.208.612 0 19 Srednje 75.412 0
INTERTEKSTIL d.o.o. Čitluk 1.267.004 1.475.935 0 18 Malo 13.949 0
GT VASILJ d.o.o. Međugorje Čitluk 138.504 474.969 0 17 Malo 5.962 0
MARINČIĆ BENZ d.o.o. Čitluk 2.761.466 4.282.967 0 17 Srednje 84.510 0
SATELIT-PLUS d.o.o. Čitluk 9.120.105 11.282.125 0 16 Veliko 1.656.903 0
LOGISTIKA Čitluk 1.795.136 6.010.268 0 16 Srednje 57.981 0
BARS d.o.o. Čitluk 332.828 890.800 0 15 Malo 112.135 0
OIL MEUGORJE Čitluk 1.792.652 5.941.677 0 15 Srednje 263.563 0
VUPROM d.o.o. Čitluk 2.563.582 1.144.986 0 15 Malo 4.280 0
Finansijsko-informatička agencija 103

